Last update :
27/04/2026
Antibiotic   Colistin mesilate sodium  
injection
aerosol
Stability in solutions Stability of mixtures Factors which affect stability Compatibility Route of administration References pdf
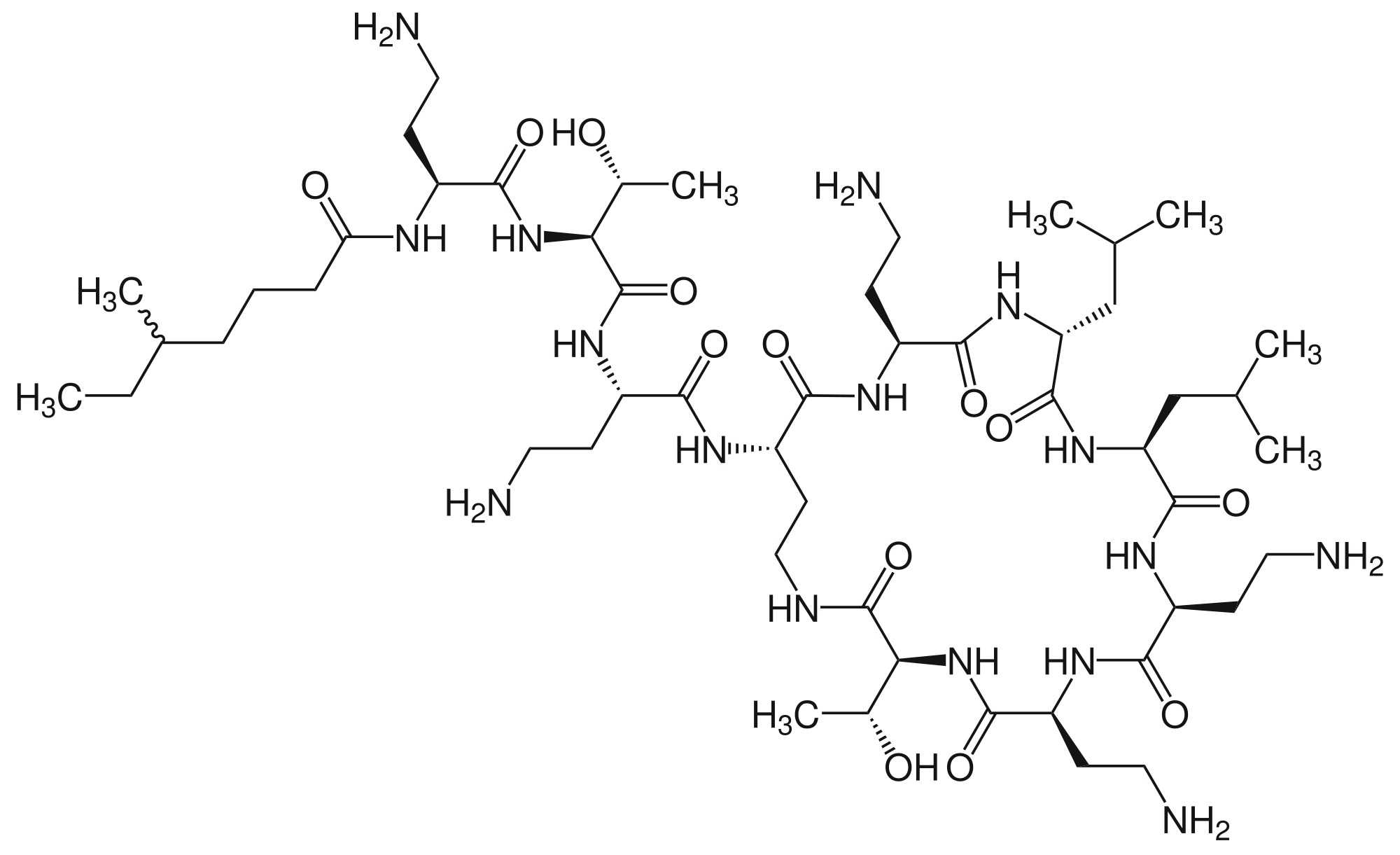
   Chemical structure  

Tradename   Tradename     

Trade names are indicative and excipients composition can be different depending on the country and manufacturers

Alficetin Argentina
Colimicina Italy
Colimycin Denmark, Norway, Turkey
Colimycine France, Luxembourg, Morocco, Netherlands, Tunisia
Colismet Peru
Colistimethate Canada, France, Great Britain, United States of America
Colistin Austria, Germany, Greece, New Zealand, Poland
Colistina Argentina, Chile, Portugal
Colistineb Belgium
Colistyn Argentina
Colixin Slovenia
Colomycin Canada, Great Britain, Ireland, Malaysia, United States of America
Dicupal Chile
Elistin Peru
Kolisod Turkey
Nolisin
Promixin Germany, Great Britain, Ireland, Norway
Toliscrin Argentina
Stability of mixtures   injection   Stability of mixtures : Colistin mesilate sodium     
No data

  Mentions Légales