Ostatnia aktualizacja :
27/04/2026
Antybiotyk   Colistin mesilate sodium  
Injekcje
Aerozol
Trwałość roztworów Trwałość w mieszaninie Czynnik wpływający na trwałość Zgodność Sposób podania Bibliografia pdf
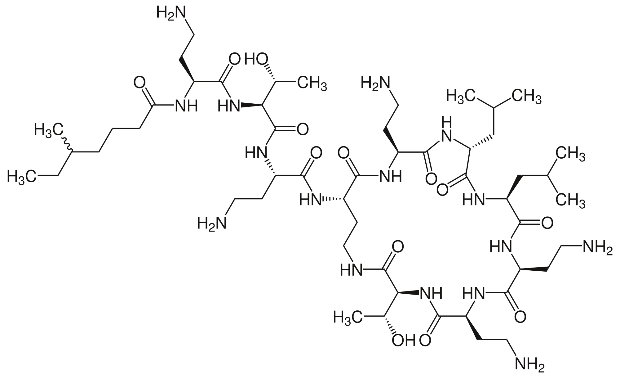
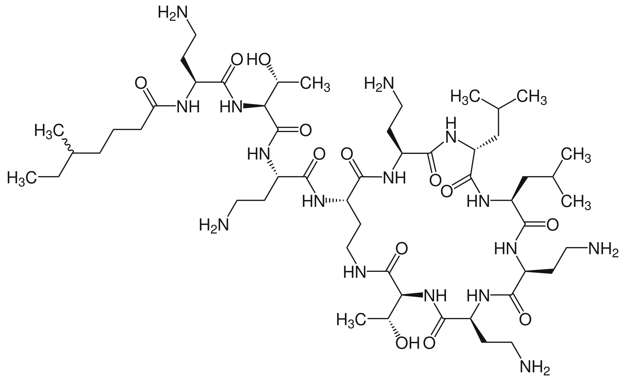
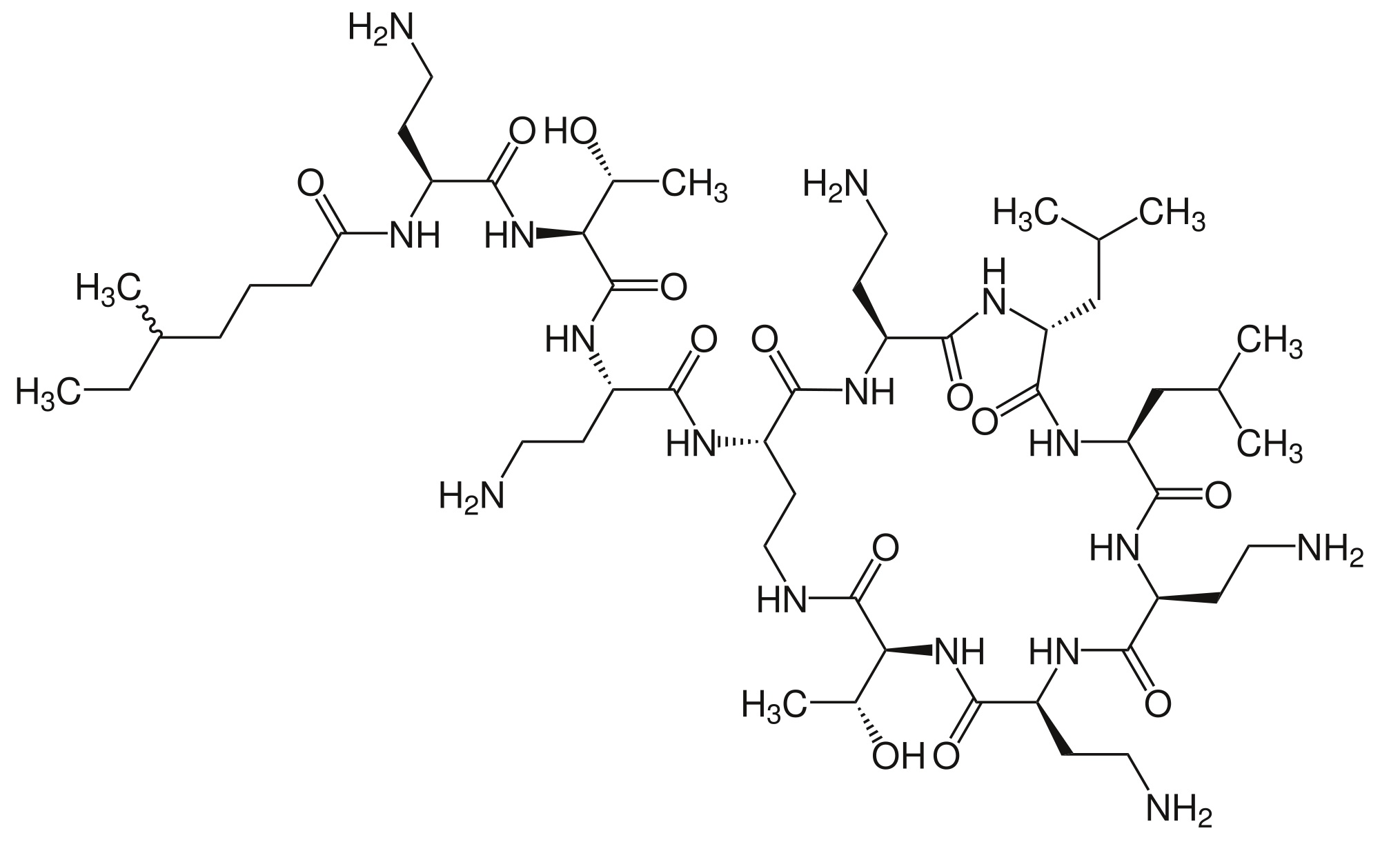
   Struktura chemiczna  

Nazwa handlowa   Nazwa handlowa     

Trade names are indicative and excipients composition can be different depending on the country and manufacturers

Alficetin Argentyna
Colimicina Włochy
Colimycin Dania, Norwegia, Turcja
Colimycine Francja , Holandia, Luksemburg, Maroko, Tunisie
Colismet Peru
Colistimethate Francja , Kanada, Stany Zjednoczone Ameryki, Wielka Brytania
Colistin Austria, Grecja, Niemcy, nowa Zelandia, Polska
Colistina Argentyna, Chile, Portugalia
Colistineb Belgia
Colistyn Argentyna
Colixin Słowenia
Colomycin Irlandia, Kanada, Malezja, Stany Zjednoczone Ameryki, Wielka Brytania
Dicupal Chile
Elistin Peru
Kolisod Turcja
Nolisin
Promixin Irlandia, Niemcy, Norwegia, Wielka Brytania
Toliscrin Argentyna

Czynnik wpływający na trwałość   Injekcje   Czynnik wpływający na trwałość : Colistin mesilate sodium        

  Mentions Légales