Последно актуализиране :
27/01/2026
Антибиотик   Colistin mesilate sodium  
Инжекция/Инжекционен
Аерозол
Стабилност на разтвори Стабилност на смеси Фактори, повлияващи стабилността Съвместимост Път на въвеждане Библиография Pdf
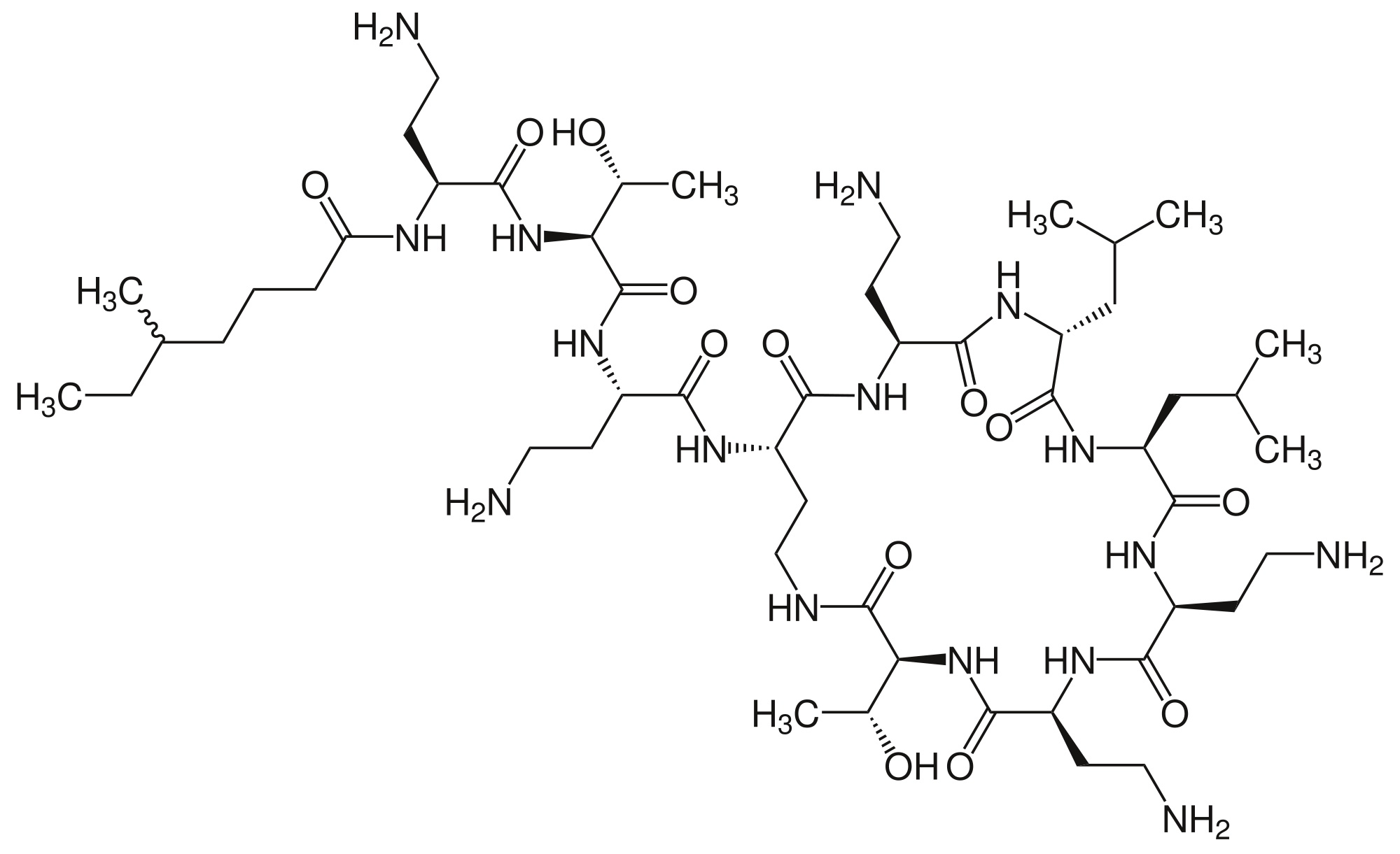
   Химична структура  

Търговско наименование   Търговско наименование     

Търговските имена са примерни и съставът на помощните вещества може да бъде различен в зависимост от държавата и лабораториите

Alficetin Аржентина
Colimicina Италия
Colimycin Дания, Норвегия, Турция
Colimycine Люксенбург, Мароко, Тунис, Франция, Холандия
Colismet Перу
Colistimethate Великобритания, Канада, Съединени Американски щати / САЩ, Франция
Colistin Австрия, Германия, Гърция, нова Зеландия, Полша
Colistina Аржентина, Португалия, Чили
Colistineb Белгия
Colistyn Аржентина
Colixin Словения
Colomycin Великобритания, Ирландия, Канада, Малайзия, Съединени Американски щати / САЩ
Dicupal Чили
Elistin Перу
Kolisod Турция
Nolisin
Promixin Великобритания, Германия, Ирландия, Норвегия
Toliscrin Аржентина

Фактори, повлияващи стабилността   Инжекция/Инжекционен   Фактори, повлияващи стабилността : Colistin mesilate sodium        

  Mentions Légales