Zadnji put ažurirano :
27/04/2026
antibiotik   Colistin mesilate sodium  
injekcija
aerosol
Stabilizacija rješenja Stabilnost mješavine Stabilizacijski faktor Kompatibilnosti način davanja lijeka Bibliografija pdf
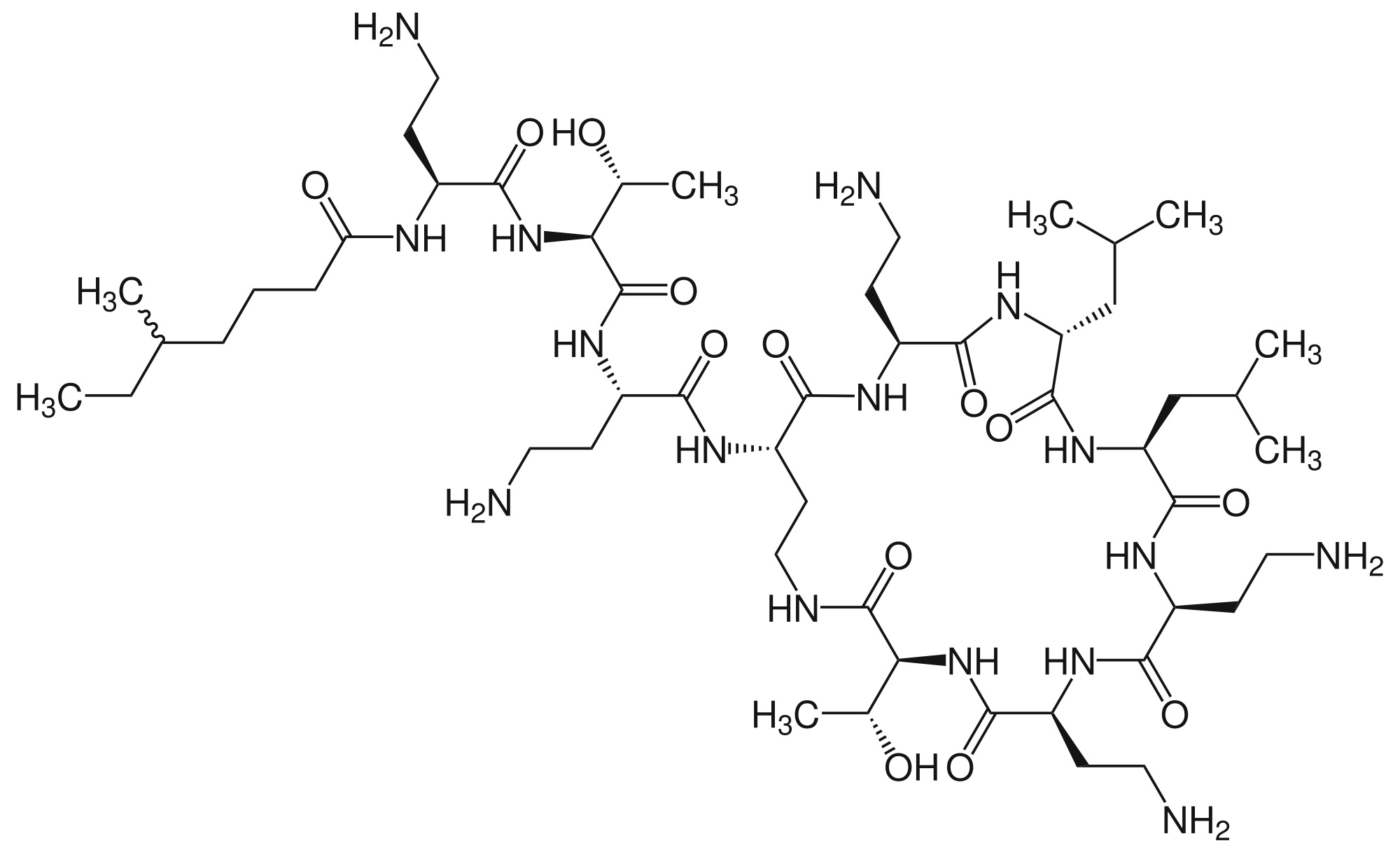
   Kemijska struktura  

Nekomercijalni   Nekomercijalni     

Zaštićeni nazivi su indikativni i sastav ekscipijensa može biti različit ovisno o državi i laboratorijima

Alficetin Argentina
Colimicina Italija
Colimycin Danska, Norveška, Turska
Colimycine Francuska, Luksemburg, Maroko, Nizozemska, Tunis
Colismet Peru
Colistimethate Francuska, Kanada, S A D, Velika Britanija
Colistin Austrija, Grčka, Njemačka, novi Zeland, Poljska
Colistina Argentina, Čile, Portugal
Colistineb Belgija
Colistyn Argentina
Colixin Slovenija
Colomycin Irska, Kanada, Malezija, S A D, Velika Britanija
Dicupal Čile
Elistin Peru
Kolisod Turska
Nolisin
Promixin Irska, Njemačka, Norveška, Velika Britanija
Toliscrin Argentina

Stabilizacijski faktor   injekcija   Stabilizacijski faktor : Colistin mesilate sodium        

  Mentions Légales