最新更新 :
27/01/2026
抗真菌薬   Anidulafungin  
注射薬
溶媒内の安定性 混合時の安定性 安定性に影響する因子 互換性 投与経路 引用文献 PDF
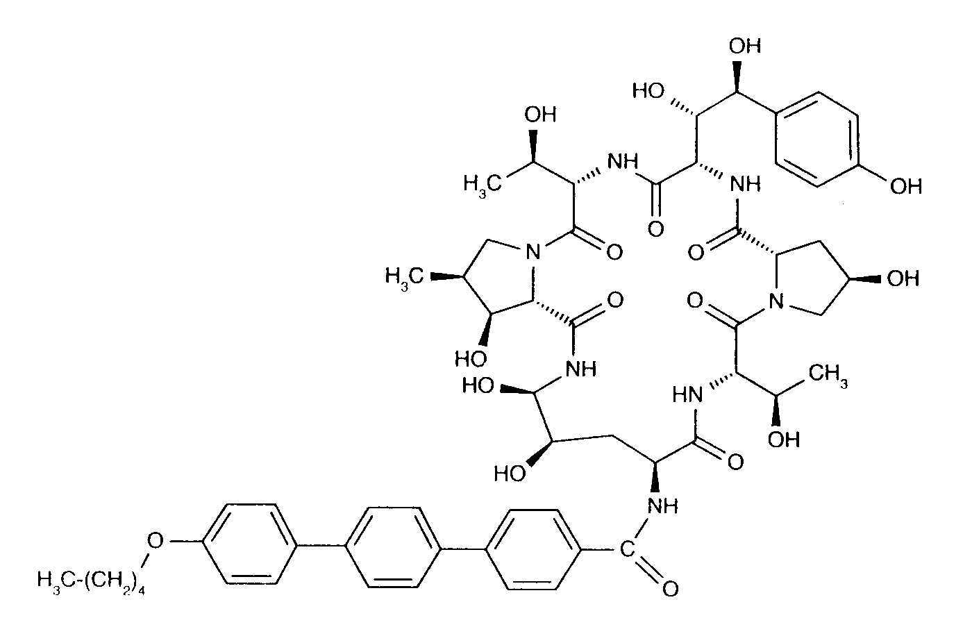
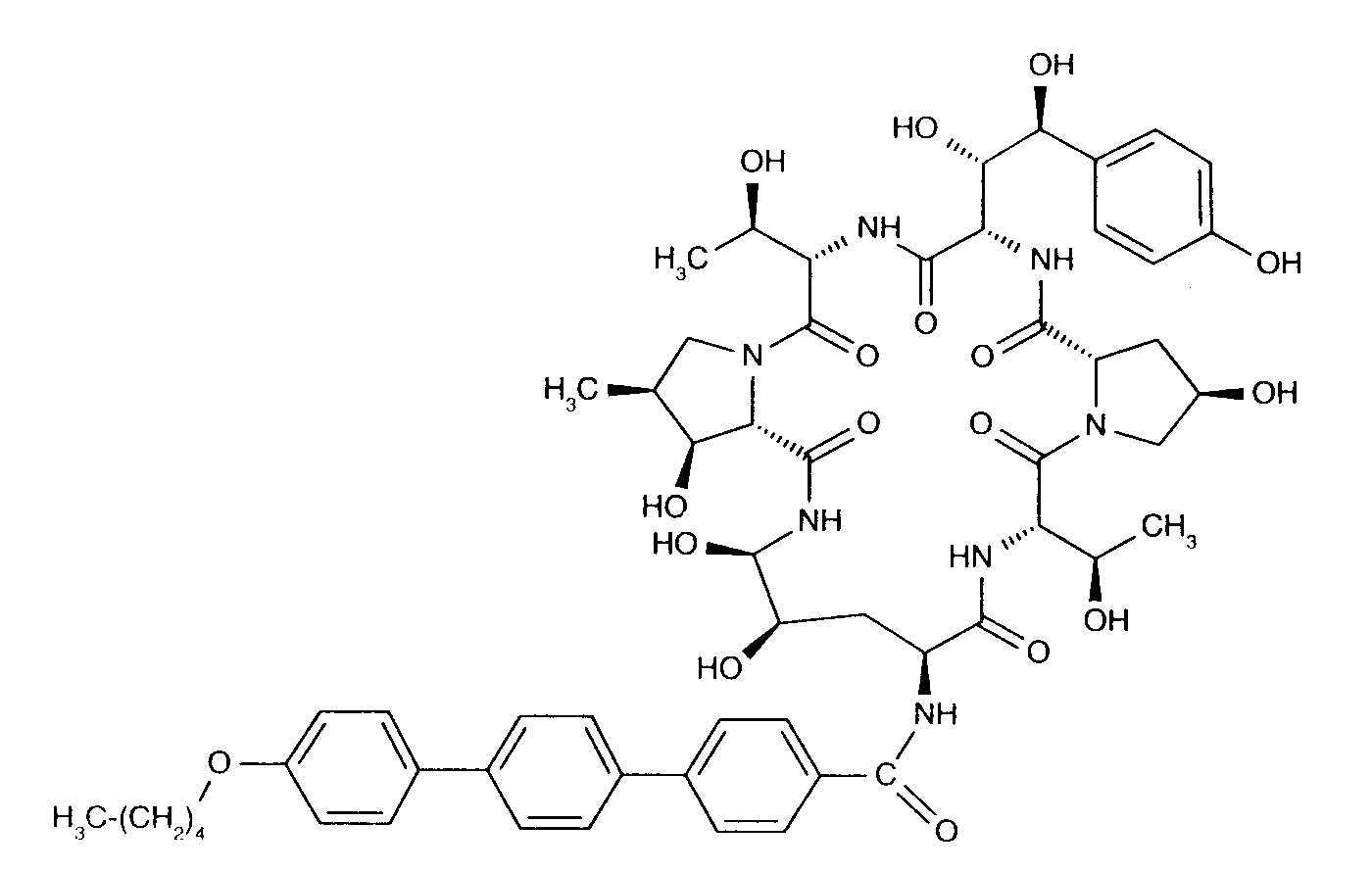
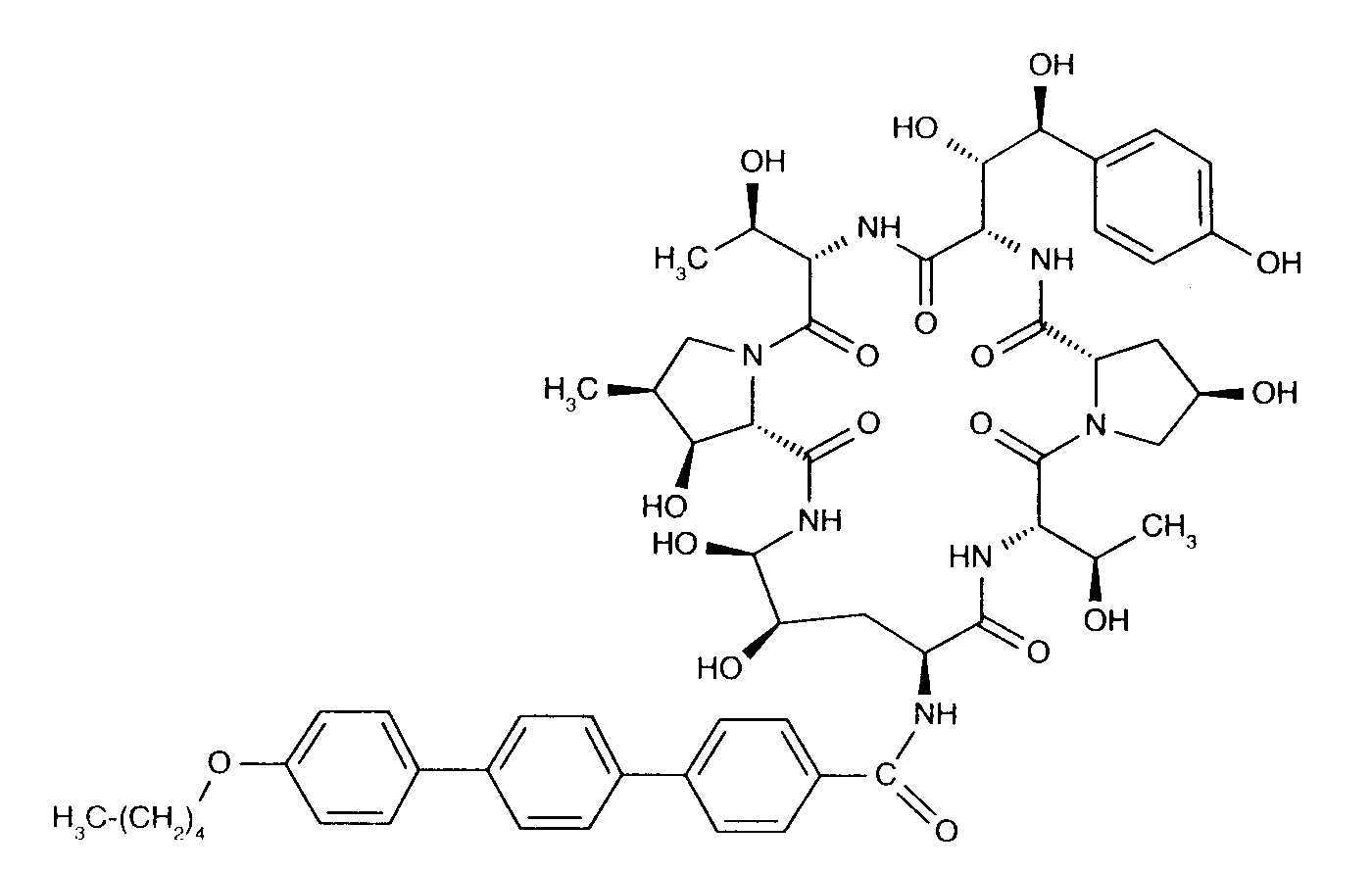
   化学構造  

商品名   商品名     

商品名、賦形剤は国、製薬会社ごとに異なることがあります

Anidulafungin イギリス, ドイツ, ベルギー
Anidulafungina スペイン, ブラジル
Ecalta アメリカ, アルゼンチン, イギリス, イタリア, オランダ, カナダ, ギリシア, コロンビア, スイス, スウェーデン, スペイン, チリ, デンマーク, トルコ, ドイツ, ノルウェー, ハンガリー, フィンランド, フランス, ブラジル, ベネズエラ, ベルギー, ペルー, ポーランド, マレーシア, ルクセンブルグ, ルーマニア
Equalta メキシコ
Eraxis アメリカ, アーストラリア, カナダ
Fuzig メキシコ
引用文献   注射薬   引用文献 : Anidulafungin  
形式 出版物
1982 雑誌 Trissel LA, Ogundele AB.
Compatibility of anidulafungin with other drugs during simulated Y-site administration.
Am J Health-Syst Pharm 2005 ; 62: 834-837.
2262 雑誌 Brammer MK, Chan P, Heatherly K, Trusley C, Kupiec TC, Trissel LA, Psathas PA, Gilmor T, Schaufelberger D.
Compatibility of doripenem with other drugs during simulated Y-site administratioN
Am J Health-Syst Pharm 2008 ; 65: 1261-1265.
3567 実験 Anidulafungin (Ecalta®) - Summary of Product Characteristics.
Pfizer 2020
3827 ポスター Ghazi I.M, Hamada Y, Nicolau D.P.
Compatibility of tedizolid phosphate with selected intravenous drugs via simulated Y-site conditions.
ASHP Midyear 2015
3828 ポスター Thabit A.K, Hamada Y, Nicolau D.P.
Ceftozolane/tazobactam physical compatibility during simulated Y-site administration.
ASHP Midyear 2015
3829 ポスター So W, Kim L, Thabit A.K, Nicolau D.P, Kuti J.L.
Compatibility of isavunazonium sulfate during simulated Y-site administration.
ASHP Midyear 2015
4055 雑誌 Monogue M, Almarzoky Abuhussain S, Kuti J, Nicolau D.
Physical compatibility of fosfomycin for injection with select i.v. drugs during simulated Y-site administration.
Am J Health-Syst Pharm 2018 , 75, 1:36-44
4145 雑誌 Asempa T.E, Avery L.M, Kidd J.M, Kuti J.L, Nicolau D.P.
Physical compatibility of plazomicin with select i.v. drugs during simulated Y-site administration.
Am J Health-Syst Pharm 2018 ;75,14:1048-1056
4528 雑誌 Lu J, Liu Q, Kupiec T, Vail H, Lunch L, Fam D, Vu N.
Physical Compatibility of Cefiderocol with Selected Intravenous Drugs During Simulated Y-site Administration.
Int J Pharm Compound 2021 ;25,1:52-61
4801 雑誌 Ruiz V, Yuwei Shen Y, Abouelhassan Y, Fouad A, Nicolau D, Kuti J.
Physical compatibility of sulbactam/durlobactam with select intravenous drugs during simulated Y-site administration.
Am J Health-Syst Pharm 2024 ;51,1:

  Mentions Légales