Última actualização :
27/04/2026
antibiótico   Erythromycin lactobionate  
injetável
Estabilidade em soluções simples Estabilidade em misturas Factores que afectam a sua estabilidade Compatibilidade Método de administração Bibliografía pdf
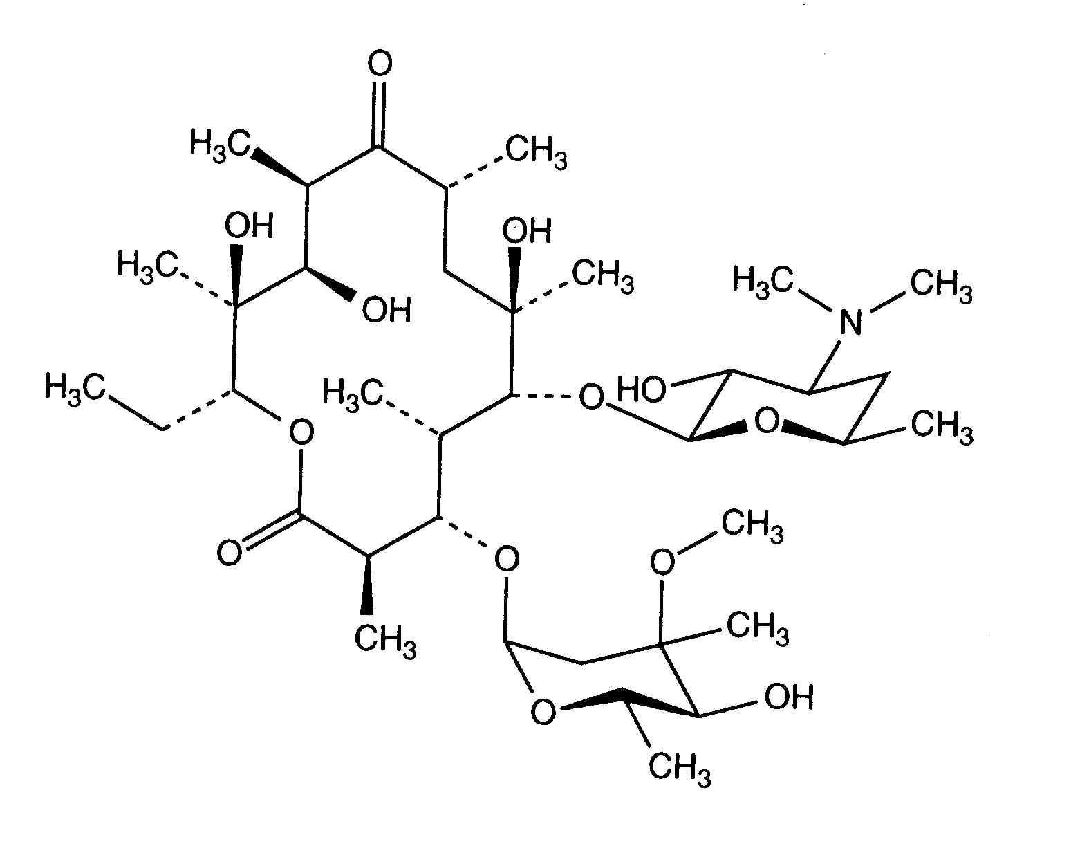
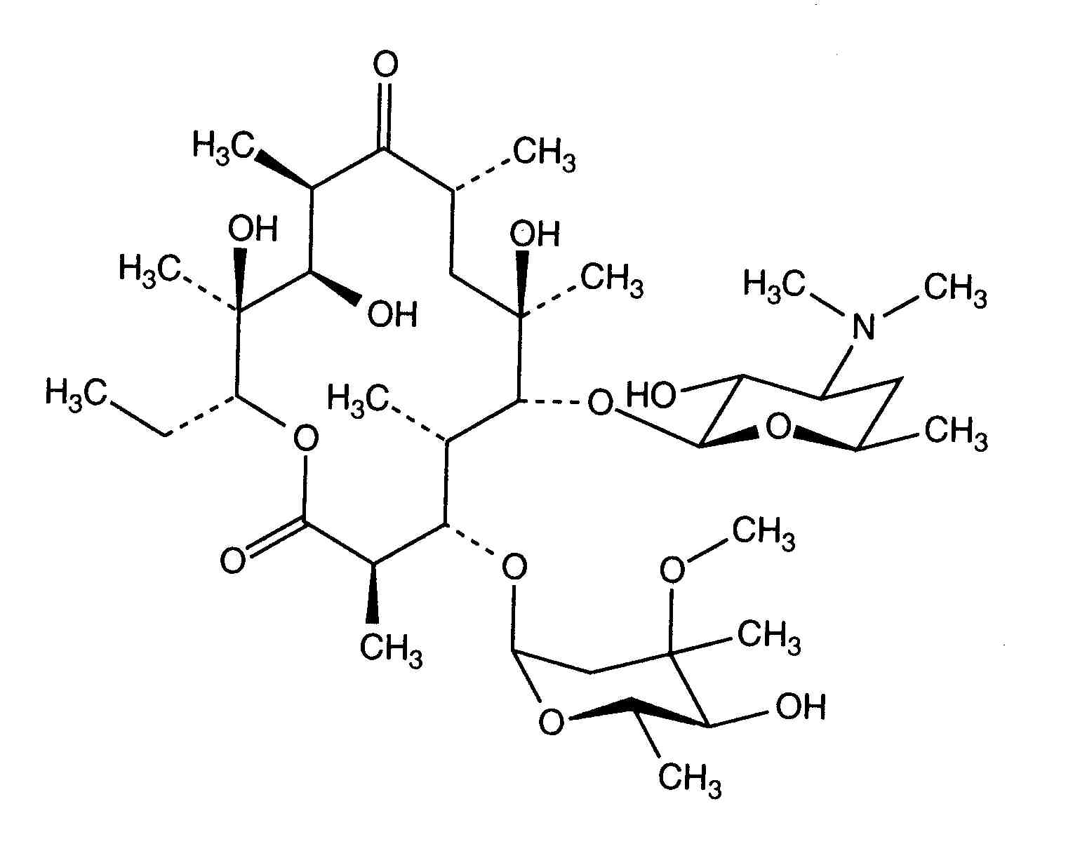
   estrutura química  

Nomes comerciais nos diversos países   Nomes comerciais nos diversos países     

OS NOMES COMERCIAIS SÃO INDICATIVOS E OS EXCIPIENTES DA FORMULAÇÃO PODEM SER DIFERENTES CONFORME O PAÍS E FABRICANTE.

Abboticin Dinamarca, Finlandia, Noruega, Suècia
Eristin Argentina
Erithromicina Chilli
Erycinum Alemanha
Erythrocin Alemanha, Arábia Saudita, Australia, Austria, Canadá, Estados Unidos de América, Gran-bretanha, Irlanda, nova Zelândia
Erythrocin lactobionat ADD Vantage Australia, Austria
Erythrocine Bélgica, França, Luxemburgo, Países Baixos, Tunísia
Erythromycin Alemanha, Arábia Saudita, Estados Unidos de América, Gran-bretanha, Hungria
Erythromycine Luxemburgo
Erythromycinum Polonia
Pantomicina Chilli, Espanha
Estabilidade em soluções simples   injetável   Estabilidade em soluções simples : Erythromycin lactobionate     
Embalagem Solvente concentração temperatura conservação Duração da estabilidade Bibliografia
vidro Agua para injectaveis 50 mg/ml 2-8°C no especificado
24 hora
3674
Dados estabilidade do fabricante

Cloreto de polivinilo cloreto de sódio 0,9% ? mg/ml 5°C ao abrigo da luz
60 dia
1154
Nível de evidência D

Cloreto de polivinilo cloreto de sódio 0,9% 10 mg/ml -20°C ao abrigo da luz
30 dia
573
análise biológica

Cloreto de polivinilo cloreto de sódio 0,9% 4,54 mg/ml -20°C ao abrigo da luz
365 dia
22
Nível de evidência A+

Cloreto de polivinilo Glucose 5% 10 mg/ml -20°C ao abrigo da luz
30 dia
573
análise biológica


  Mentions Légales