Laatste update :
27/04/2026
Antibioticum   Erythromycin lactobionate  
injecteerbaar geneesmiddel
Stabiliteit in oplossing Stabiliteit in mengsels Factoren die de stabiliteit beïnvloeden Verenigbaarheden Toedieningswijze Literatuur pdf
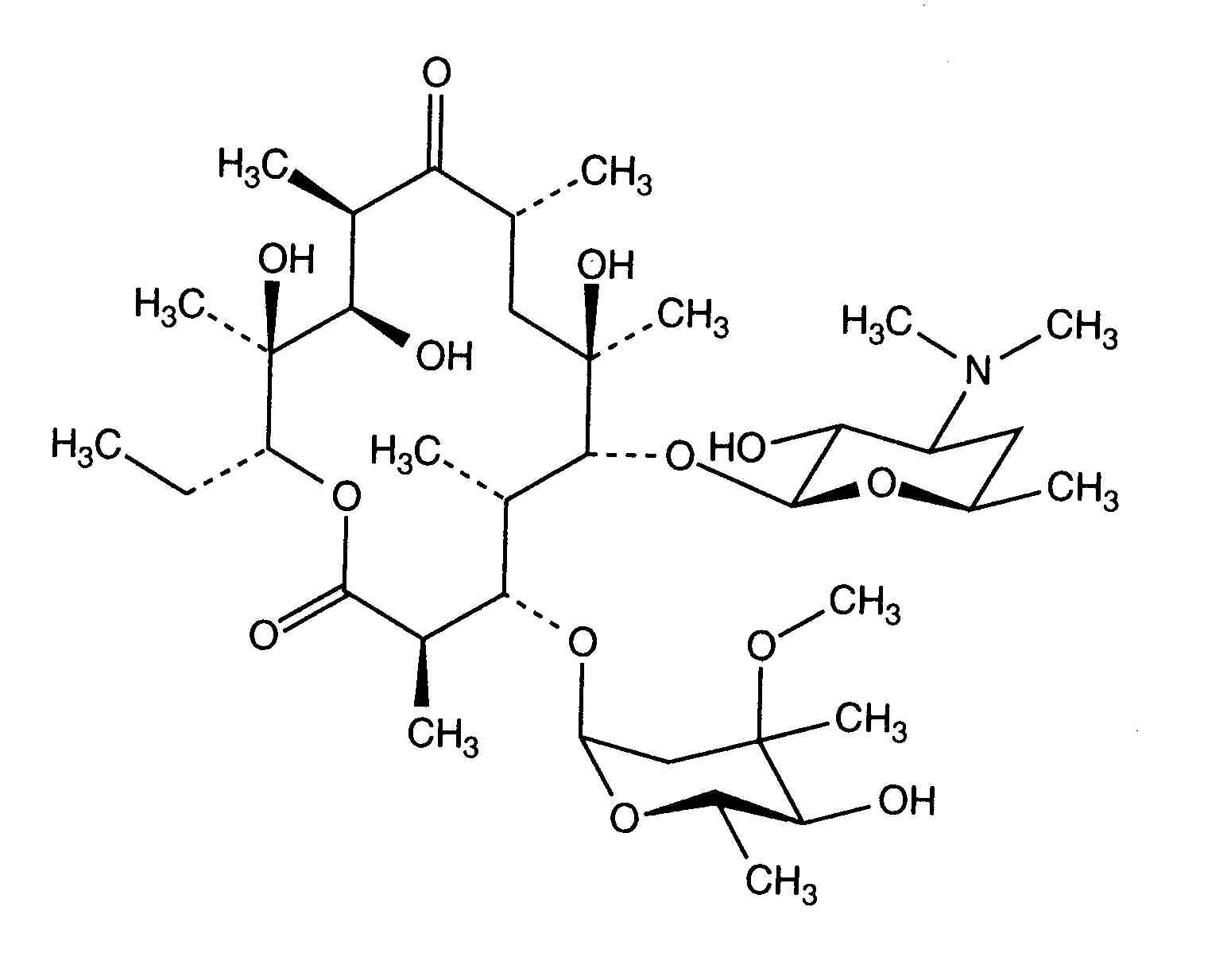
   Molecuulstructuur  

Merknamen in verschillende landen   Merknamen in verschillende landen     

Handelsnamen zijn slechts een indicatie; de samenstelling van hulpstoffen kan per land variëren afhankelijk van de fabrikant

Abboticin Denemarken, Finland, Noorwegen, Zweden
Eristin Argentinië
Erithromicina Chili
Erycinum Duitsland
Erythrocin Australië, Canada, Duitsland, Groot Britannië, Ierland, nieuw Zeeland, Oostenrijk, Saudi-Arabië, USA
Erythrocin lactobionat ADD Vantage Australië, Oostenrijk
Erythrocine België, Frankrijk, Luxemburg, Nederland, Tunisie
Erythromycin Duitsland, Groot Britannië, Hongarije, Saudi-Arabië, USA
Erythromycine Luxemburg
Erythromycinum Polen
Pantomicina Chili, Spanje
Stabiliteit in oplossing   injecteerbaar geneesmiddel   Stabiliteit in oplossing : Erythromycin lactobionate     
Verpakking Oplosmiddel Concentratie Temperatuur Bewaring Duur van de stabiliteit Literatuur
Glas Water voor injectie 50 mg/ml 2-8°C Niet gespecificeerd
24 Uur
3674
Stabiliteitsgegevens van de fabrikant

Polyvinylchloride (PVC) Natriumchloride 0,9% ? mg/ml 5°C Buiten invloed van licht
60 Dag
1154
Bewijsniveau D

Polyvinylchloride (PVC) Natriumchloride 0,9% 10 mg/ml -20°C Buiten invloed van licht
30 Dag
573
Biologische analyse

Polyvinylchloride (PVC) Natriumchloride 0,9% 4,54 mg/ml -20°C Buiten invloed van licht
365 Dag
22
Bewijsniveau A+

Polyvinylchloride (PVC) Glucose 5% 10 mg/ml -20°C Buiten invloed van licht
30 Dag
573
Biologische analyse


  Mentions Légales