Последнее обновление :
27/04/2026
Антибиотик   Erythromycin lactobionate  
Инъекция
Стабильность растворов Стабильность смесей Факторы, которые влияют на стабильность Совместимость Способы введения Библиография pdf
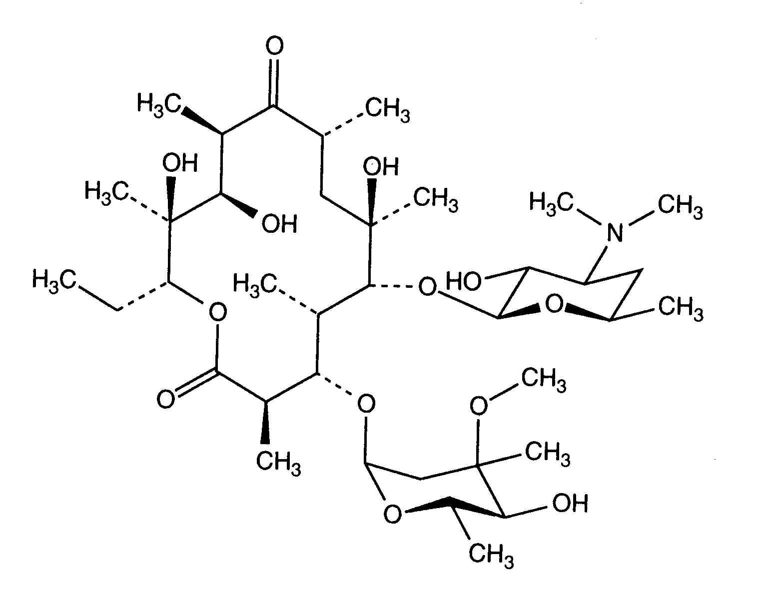
   Химическая структура  

Товарное название   Товарное название     

Trade names are indicative and excipients composition can be different depending on the country and manufacturers

Abboticin Дания, Норвегия, Финляндия, Швеция
Eristin Аргентина
Erithromicina чили
Erycinum Германия
Erythrocin Австралия, Австрия, Великобритания, Германия, Ирландия, Канада, новая Зеландия, Саудовская Аравия, Соединённые Штаты Америки
Erythrocin lactobionat ADD Vantage Австралия, Австрия
Erythrocine Бельгия, Голландия, Люксембург, Тунис, Франция
Erythromycin Великобритания, Венгрия, Германия, Саудовская Аравия, Соединённые Штаты Америки
Erythromycine Люксембург
Erythromycinum Польша
Pantomicina Испания, чили
Стабильность растворов   Инъекция   Стабильность растворов : Erythromycin lactobionate     
Упаковка Растворитель Концентрация Температура Хранение Продолжительность стабильности Ссылки
Стекло Вода для инъекций 50 mg/ml 2-8°C Не указано
24 Час
3674
Данные по стабльности от изготовителя

Поливинилхлорид Натрия хлорид 0,9% ? mg/ml 5°C Защищён от света
60 День
1154
Уровень доказательности D

Поливинилхлорид Натрия хлорид 0,9% 10 mg/ml -20°C Защищён от света
30 День
573
Биологический метод

Поливинилхлорид Натрия хлорид 0,9% 4,54 mg/ml -20°C Защищён от света
365 День
22
Уровень доказательности A +

Поливинилхлорид Глюкоза 5% 10 mg/ml -20°C Защищён от света
30 День
573
Биологический метод


  Mentions Légales