آخر تحديث :
27/04/2026
مضاد حيوي   Erythromycin lactobionate  
حقن
الاستقرار في حلول استقرار مخاليط العوامل التي تؤثر على الاستقرار التوافق طريقة التعاطي مراجع pdf
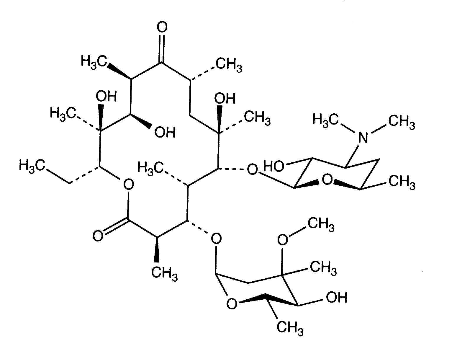
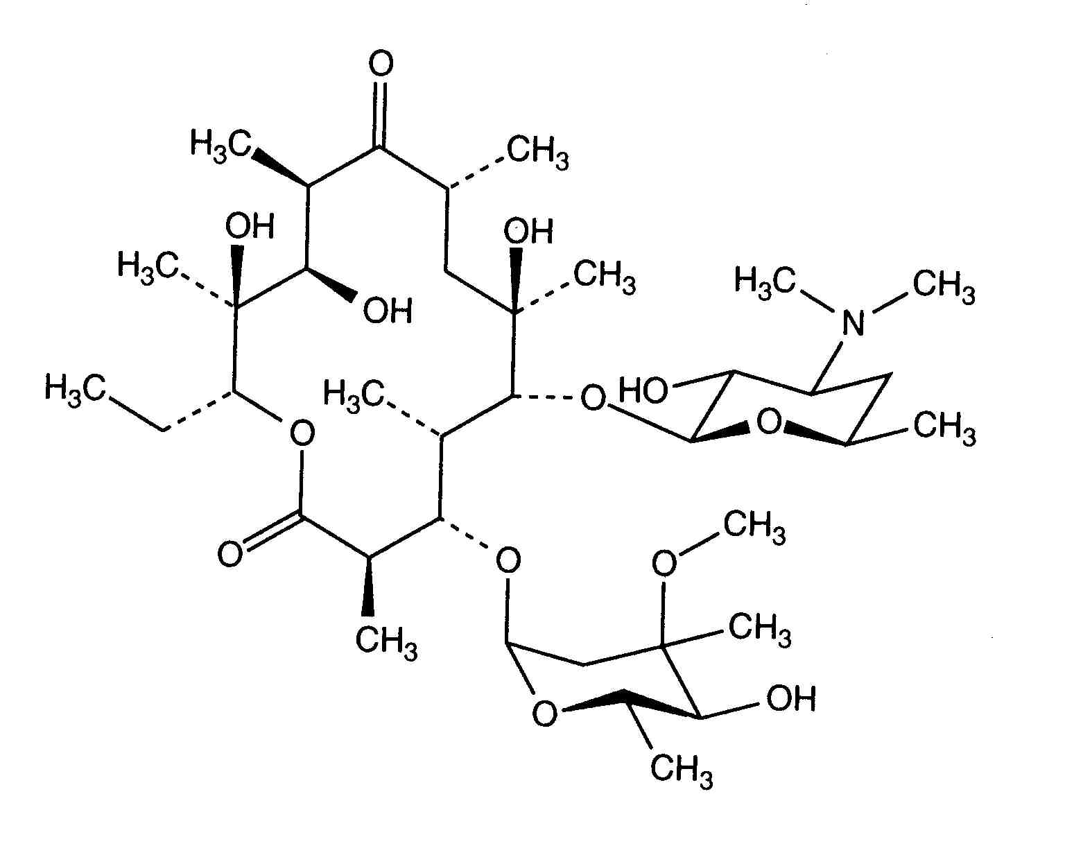
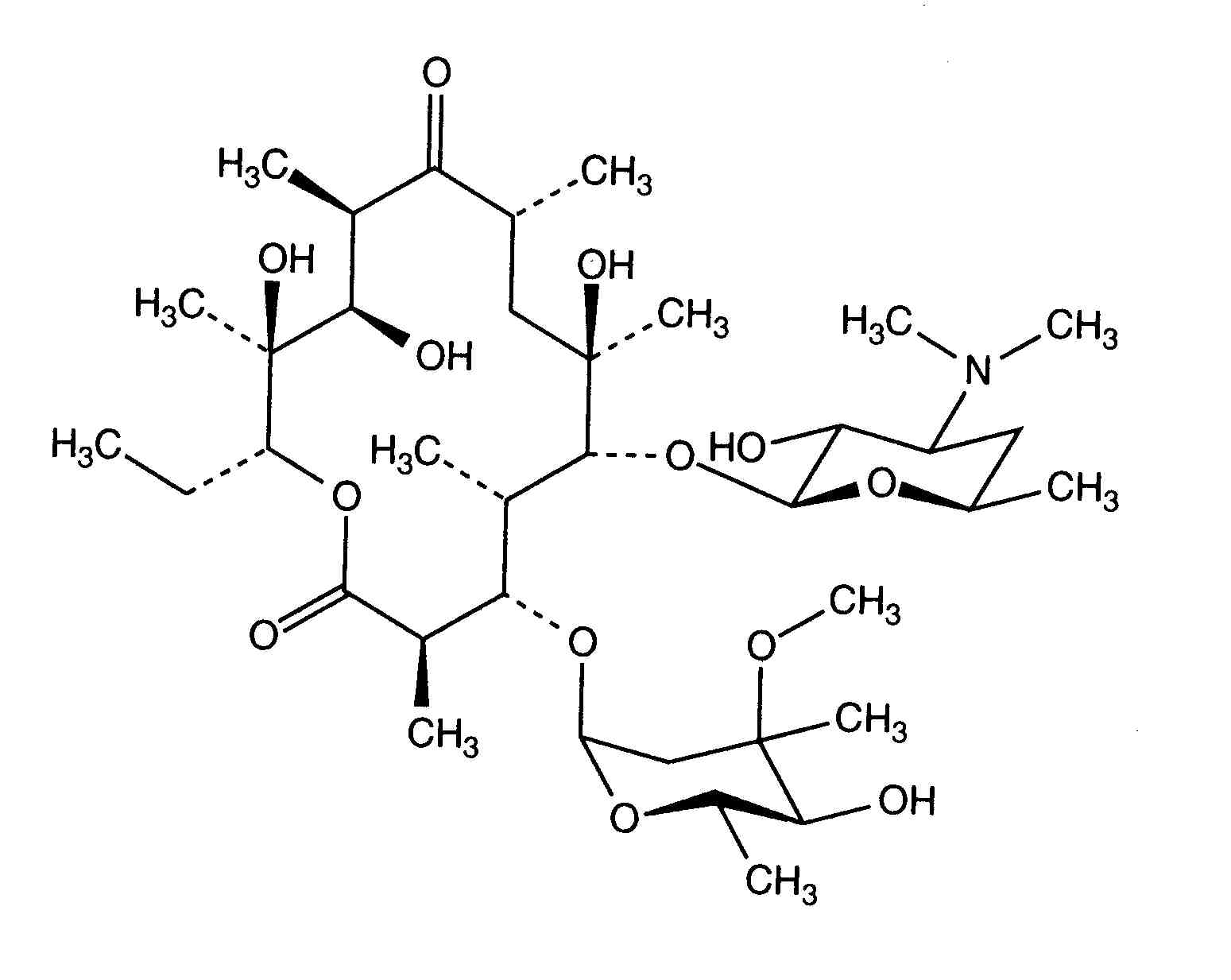
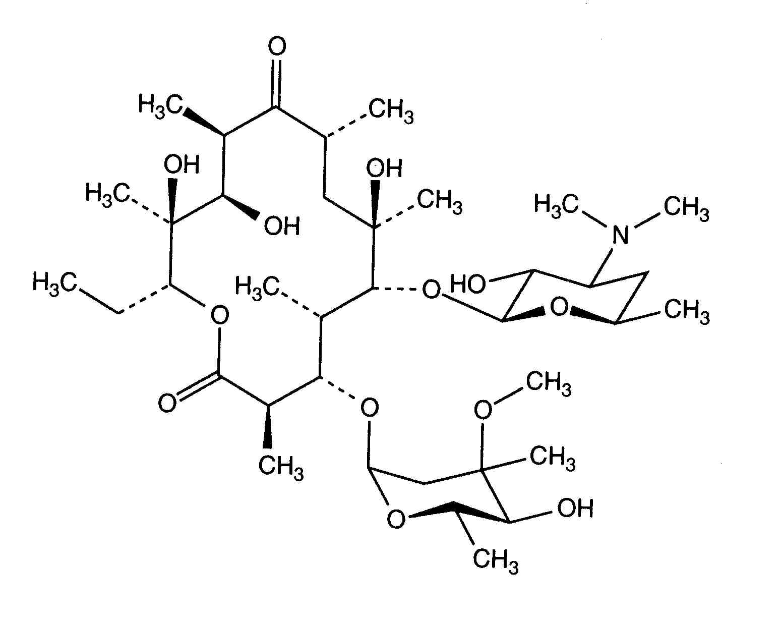
   التركيب الكيميائي  

حجز الاسم التجاري   حجز الاسم التجاري     

تحذير الأسماء التجاريه المختلفه قد تحتوي علي محتوي إضافات مختلفة حسب الدوله و المعمل

Abboticin الدنمارك, السويد, النرويج, فنلندا
Eristin الأرجنتين
Erithromicina تشيلي
Erycinum ألمانيا
Erythrocin أستراليا, ألمانيا, العربية السعودية, النمسا, الولايات المتحدة, ايرلندا, بريطانيا العظمي, زيلاندا الجديدة, كندا
Erythrocin lactobionat ADD Vantage أستراليا, النمسا
Erythrocine بلجيكا, تونس, فرنسا, لوكسمبورغ, هولندا
Erythromycin ألمانيا, العربية السعودية, الولايات المتحدة, بريطانيا العظمي, هنغاريا
Erythromycine لوكسمبورغ
Erythromycinum بولندا
Pantomicina إسبانيا, تشيلي
الاستقرار في حلول   حقن   الاستقرار في حلول : Erythromycin lactobionate     
حاوية مذيب تركيز درجة الحرارة تخزين مدة الاستقرار مراجع
زجاج حقن المياه لل 50 mg/ml 2-8°C لم يتم تحديد
24 ساعة
3674
بيانات الشركة المصنعة \\ \'ق الاستقرار

البولي فينيل كلوريد كلوريد الصوديوم 0.9% ? mg/ml 5°C بعيدا عن الضوء
60 يوم
1154
D مستوى الأدلة

البولي فينيل كلوريد كلوريد الصوديوم 0.9% 10 mg/ml -20°C بعيدا عن الضوء
30 يوم
573
التحليل البيولوجي

البولي فينيل كلوريد كلوريد الصوديوم 0.9% 4,54 mg/ml -20°C بعيدا عن الضوء
365 يوم
22
 A+ مستوى الأدلة

البولي فينيل كلوريد الجلوكوز %5 10 mg/ml -20°C بعيدا عن الضوء
30 يوم
573
التحليل البيولوجي


  Mentions Légales