Senaste uppdateringen :
27/04/2026
Antibiotikum   Erythromycin lactobionate  
injektion
Lösningars stabilitet Stabilitet i blandningar Faktorer som påverkar stabiliteten Kompatibilitet Administreringssätt Hänvisningar pdf
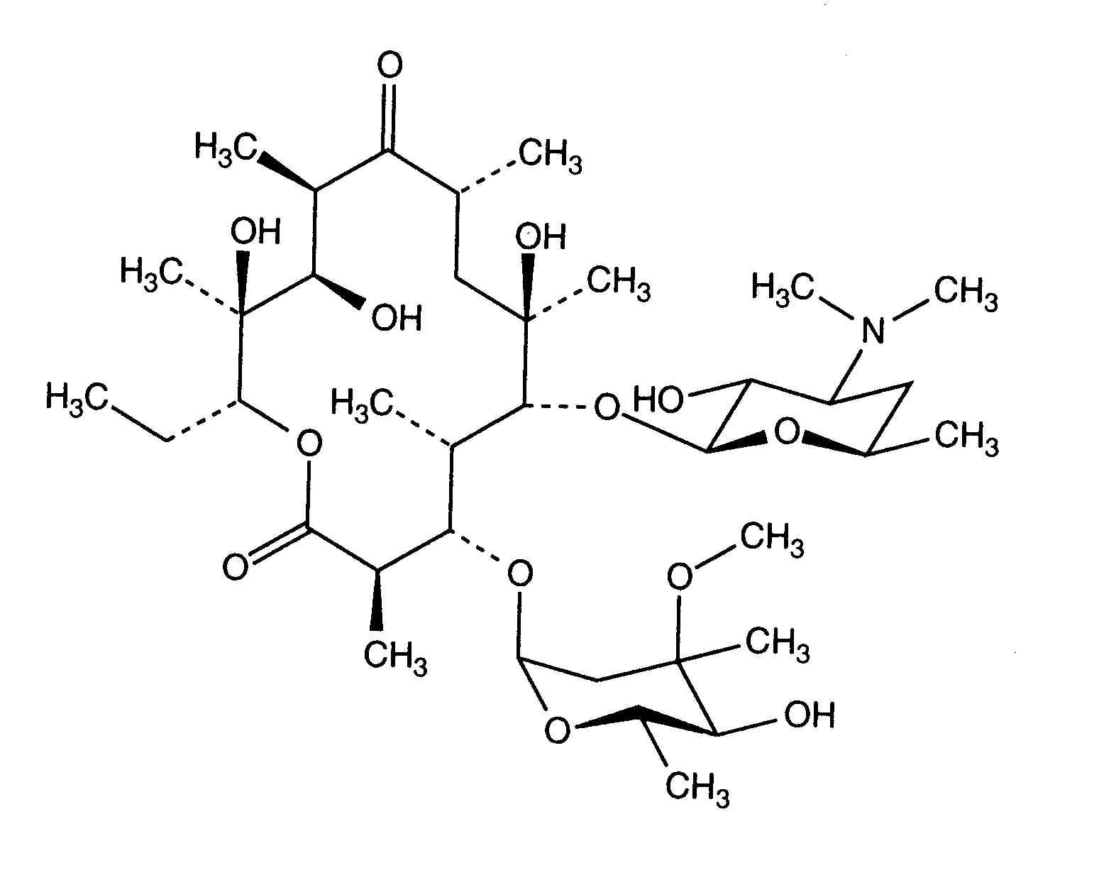
   Molekylstruktur  

Varunamn   Varunamn     

Angivna handelsnamn på läkemedel är enbart vägledande då formulering inklusive hjälpämnen kan variera mellan länder och tillverkare

Abboticin Danmark, Finland, Norge, Sverige
Eristin Argentina
Erithromicina Chile
Erycinum Tyskland
Erythrocin Australien, Förenta Staterna, Irland, Kanada, nya Zeeland, Österrike, Saudi-Arabien, Storbritannien, Tyskland
Erythrocin lactobionat ADD Vantage Australien, Österrike
Erythrocine Belgien, Frankrike, Luxemburg, Nederländerna, Tunisien
Erythromycin Förenta Staterna, Saudi-Arabien, Storbritannien, Tyskland, Ungern
Erythromycine Luxemburg
Erythromycinum Polen
Pantomicina Chile, Spanien
Lösningars stabilitet   injektion   Lösningars stabilitet : Erythromycin lactobionate     
Behållare Lösningsmedel Koncentration Temperatur Förvaring Stabilitets varaktighet Hänvisningar
Glas Vatten för injektion 50 mg/ml 2-8°C Ej angiven
24 Timma
3674
Tillverkarens stabilitetsuppgifter

Polyvinylklorid Natriumklorid 0,9 % ? mg/ml 5°C Skyddas från ljus
60 Dag
1154
Evidensnivå D

Polyvinylklorid Natriumklorid 0,9 % 10 mg/ml -20°C Skyddas från ljus
30 Dag
573
Biologisk analys

Polyvinylklorid Natriumklorid 0,9 % 4,54 mg/ml -20°C Skyddas från ljus
365 Dag
22
Evidensnivå A+

Polyvinylklorid Glukos 5 % 10 mg/ml -20°C Skyddas från ljus
30 Dag
573
Biologisk analys


  Mentions Légales