Son güncelleme :
27/04/2026
kontrast madde   Gadoterate meglumine  
Enjeksiyon
Çözeltilerin stabilitesi Karışımlardaki stabilitesi Stabiliteyi etkileyen faktörler Uyumluluk Uygulama yöntemi Kaynaklar pdf
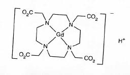
   Kimyasal yapı   

Ticari isim   Ticari isim     

Trade names are indicative and excipients composition can be different depending on the country and manufacturers

Artirem Almanya, Hollanda
Ciclolux Almanya, İspanya
Clariscan Almanya, Avusturya, Belçika, Finlandiya, İrlanda, İspanya, İsveç, İsviçre, Lüksemburg, Macaristan, Norveç, Peru, Şili
Cyclolux Almanya, İspanya, Macaristan
Dotagita Almanya, Romanya
Dotagraf Almanya, İrlanda, İspanya, İsviçre
Dotarem Almanya, Arjantin, Avustralya, Avusturya, Belçika, Danimarka, Finlandiya, Fransa, İran, İrlanda, İspanya, İsveç, İsviçre, İtalya, Kolombiya, Lüksemburg, Macaristan, Malezya, Mısır, Norveç, Peru, Portekiz, Romanya, Şili, Suudi Arabistan, Tunus, Türkiye, Venezuela, Yunanistan
Uyumluluk   Enjeksiyon    Uyumluluk : Gadoterate meglumine              
veri yok

  Mentions Légales