Zadnji put ažurirano :
27/04/2026
Radiocontrast agenta   Gadoterate meglumine  
injekcija
Stabilizacija rješenja Stabilnost mješavine Stabilizacijski faktor Kompatibilnosti način davanja lijeka Bibliografija pdf
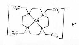
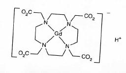
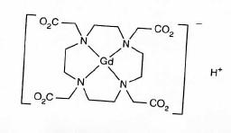
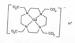
   Kemijska struktura  

Nekomercijalni   Nekomercijalni     

Zaštićeni nazivi su indikativni i sastav ekscipijensa može biti različit ovisno o državi i laboratorijima

Artirem Nizozemska, Njemačka
Ciclolux Njemačka, Španjolska
Clariscan Austrija, Belgija, Čile, Finska, Irska, Luksemburg, Madžarska, Njemačka, Norveška, Peru, Španjolska, Švedska, Švicarska
Cyclolux Madžarska, Njemačka, Španjolska
Dotagita Njemačka, Rumunjska
Dotagraf Irska, Njemačka, Španjolska, Švicarska
Dotarem Argentina, Australija, Austrija, Belgija, Čile, Danska, Egipat, Finska, Francuska, Grčka, Iran, Irska, Italija, Kolumbija, Luksemburg, Madžarska, Malezija, Njemačka, Norveška, Peru, Portugal, Rumunjska, Saudijska Arabija, Španjolska, Švedska, Švicarska, Tunis, Turska, Venecuela
Kompatibilnosti   injekcija   Kompatibilnosti : Gadoterate meglumine              
bez podataka

  Mentions Légales