Seneste opdatering :
27/04/2026
radiocontrast agent   Gadoterate meglumine  
Injektion
Stabilitet i (vandige) opløsninger Stabilitet i blandinger Faktorer der påvirker stabiliteten Kompatibilitet Administrationsvej Bibliografi pdf
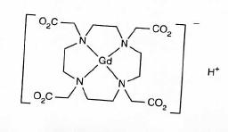
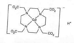
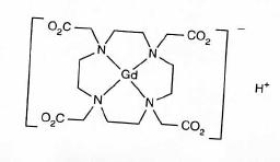
   Kemisk struktur  

Handelsnavn   Handelsnavn     

Handel navne er vejledende og hjælpestoffer sammensætning kan være forskellig afhængigt af landet og laboratorier

Artirem Holland, Tyskland
Ciclolux Spanien, Tyskland
Clariscan Belgien, Chile, Finland, Irland, Luxemborg, Marokko, Norge, Schweiz, Spanien, Sverige, Tyskland, Ungarn, Østrig
Cyclolux Spanien, Tyskland, Ungarn
Dotagita Rumænien, Tyskland
Dotagraf Irland, Schweiz, Spanien, Tyskland
Dotarem Argentina, Australien, Belgien, Chile, Colombia, Danmark, Finland, Frankrig, Grækenland, Iran, Irland, Italien, Luxemborg, Malaysia, Marokko, Norge, Portugal, Rumænien, Saudi-Arabien, Schweiz, Spanien, Sverige, Tunesien, Tyrkiet, Tyskland, Ungarn, Venezuela, Ægypten, Østrig
Kompatibilitet   Injektion   Kompatibilitet : Gadoterate meglumine              
Ingen data

  Mentions Légales