Последно актуализиране :
27/04/2026
Рентгеноконтрастно средство   Gadoterate meglumine  
Инжекция/Инжекционен
Стабилност на разтвори Стабилност на смеси Фактори, повлияващи стабилността Съвместимост Път на въвеждане Библиография Pdf
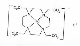
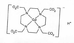
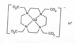
   Химична структура  

Търговско наименование   Търговско наименование     

Търговските имена са примерни и съставът на помощните вещества може да бъде различен в зависимост от държавата и лабораториите

Artirem Германия, Холандия
Ciclolux Германия, Испания
Clariscan Австрия, Белгия, Германия, Ирландия, Испания, Люксенбург, Норвегия, Перу, Унгария, Финландия, Чили, Швейцария, Швеция
Cyclolux Германия, Испания, Унгария
Dotagita Германия, Румъния
Dotagraf Германия, Ирландия, Испания, Швейцария
Dotarem Австралия, Австрия, Аржентина, Белгия, Венецуела, Германия, Гърция, Дания, Египет, Иран, Ирландия, Испания, Италия, Колумбия, Люксенбург, Малайзия, Норвегия, Перу, Португалия, Румъния, Саудитска Арабия, Тунис, Турция, Унгария, Финландия, Франция, Чили, Швейцария, Швеция
Съвместимост   Инжекция/Инжекционен   Съвместимост : Gadoterate meglumine              
Няма данни

  Mentions Légales