Ultimele actualizari :
27/04/2026
mediu de contrast   Gadoterate meglumine  
Injectabil
Stabilitatea in solutie Stabilitatea in amestec Factorii care influenteaza stabilitatea Compatibilitate Microunde Bibliografie pdf
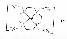
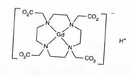
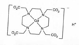
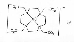
   Formula chimica  

Denumirea comerciala   Denumirea comerciala     

Trade names are indicative and excipients composition can be different depending on the country and manufacturers

Artirem Germania, Olanda
Ciclolux Germania, Spania
Clariscan Austria, Belgia, Chilli, Elvetia, Finlanda, Germania, Irlanda, Luxemburg, Norvegia, Peru, Spania, Suedia, Ungaria
Cyclolux Germania, Spania, Ungaria
Dotagita Germania, Romania
Dotagraf Elvetia, Germania, Irlanda, Spania
Dotarem Arabia Saudita, Argentina, Australia, Austria, Belgia, Chilli, Columbia, Danemarca, Egipt, Elvetia, Finlanda, Franta, Germania, Grecia, Iran, Irlanda, Italia, Luxemburg, Malaezia, Norvegia, Peru, Portugalia, Romania, Spania, Suedia, Tunisia, Turcia, Ungaria, Venezuela
Compatibilitate   Injectabil   Compatibilitate : Gadoterate meglumine              
Absenta de date

  Mentions Légales