Siste oppdatering :
27/04/2026
kontrastmiddel   Gadoterate meglumine  
Injeksjon
Oppløsningsstabilitet Stabilitet i blandinger Faktorer som påvirker stabiliteten Kompatibilitet Administrasjonsmåte Referanser pdf
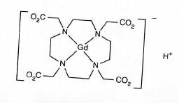
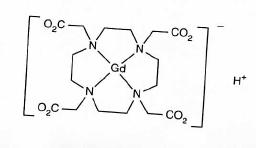
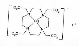
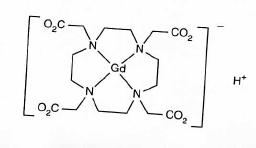
   Kjemisk struktur  

Handelsnavn   Handelsnavn     

Handelsnavn er veiledende og sammensetning av hjelpestoffer kan være forskjellig avhengig av land og produsent

Artirem Nederland, Tyskland
Ciclolux Spania, Tyskland
Clariscan Belgia, Chile, Finland, Irland, Luxembourg, Norge, Peru, Spania, Sveits, Sverige, Tyskland, Ungarn, Østerrike
Cyclolux Spania, Tyskland, Ungarn
Dotagita Romania, Tyskland
Dotagraf Irland, Spania, Sveits, Tyskland
Dotarem Argentina, Australia, Belgia, Chile, Colombia, Danmark, Egypt, Finland, Frankrike, Hellas, Iran, Irland, Italia, Luxembourg, Malaysia, Norge, Peru, Portugal, Romania, Saudi-Arabia, Spania, Sveits, Sverige, Tunisia, Tyrkia, Tyskland, Ungarn, Venezuela, Østerrike
Kompatibilitet   Injeksjon   Kompatibilitet : Gadoterate meglumine              
Ingen opplysninger

  Mentions Légales