Son güncelleme :
27/01/2026
Antibiyotik   Amoxicillin sodium / clavulanic acid  
Enjeksiyon
Oral solüsyon / oral çözelti
Çözeltilerin stabilitesi Karışımlardaki stabilitesi Stabiliteyi etkileyen faktörler Uyumluluk Uygulama yöntemi Kaynaklar pdf
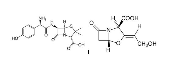
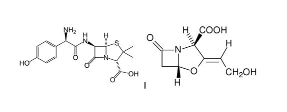
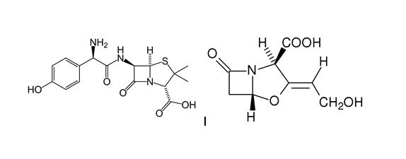
   Kimyasal yapı   

Ticari isim   Ticari isim     

Trade names are indicative and excipients composition can be different depending on the country and manufacturers

Aktil Macaristan
Amoclan Suudi Arabistan
Amoklavin Türkiye
Amoksiklav Polonya
Amoxclav Suudi Arabistan
Amplamox Brezilya
Augmentin Avusturya, Belçika, Birleşik Arap Emirlikleri, Büyük Britanya, Ekvador, Fransa, Hollanda, İspanya, İsviçre, İtalya, Polonya, Şili, Suudi Arabistan, Türkiye, Yunanistan
Betamox Portekiz
Clavamox Avusturya
Clavicin Malezya, Venezuela
Clavulin Brezilya
Co-amoxi İsviçre
Co-Amoxicillin İsviçre
Curam Suudi Arabistan, yeni Zelanda
Darzitil Arjantin
Dibional Arjantin
Julmentin Birleşik Arap Emirlikleri
Novamox Brezilya
Sulbamox Şili
Tarometin Polonya
Trifamox Arjantin, Ekvador, Kolombiya, Meksika
Kaynaklar   Enjeksiyon    Kaynaklar : Amoxicillin sodium / clavulanic acid  
tip yayın
186 Dergi Swart EL, Mooren RAG, Van Loenen AC.
Compatibility of midazolam hydrochloride and lorazepam with selected drugs during simulated Y-site administration.
Am J Health-Syst Pharm 1995 ; 52: 2020-2022.
889 Dergi Janknegt R, Stratermans T, Cilissen J, Lohman JJHM, Hooymans PM.
Ofloxacin intravenous. Compatibility with other antibacterial agents.
Pharm Weekbl [Sci] 1991 ; 13: 207-209.
1318 Dergi Ashwin J, Lynn B, Taskis CB.
Stability and administration of intravenous Augmentin.
Pharm J 1987 ; 238: 116-118.
1357 Dergi Janknegt R, Schrouff GGM, Hooymans PM, Hermens WJHH, Lohman JJHM.
Quinolones and penicillins incompatibility.
Ann Pharmacotherapy 1989 ; 23: 91-92.
1746 Dergi Kambia N, Merite N, Dine T, Dupin-Spriet T, Gressier B, Luyckx M, Watinne C, Brunet C.
Stability studies of amoxicillin/clavulanic acid combinaison in polyolefin infusion bags.
EJHP 2010 ; 16, 30-37.
2139 Dergi Serrurier C, Chenot ED, Vigneron J, May I, Demor? B.
Assessment of injectable drug’s administration in two intensive care units and determination of potential physico-chemical incompatibilities.
EJHP Science 2006 ; 12,5: 96-99.
2231 Dergi de Jongh R, Hens R, Basma V, mouton JW, Tulkens PM, Carryn S.
Continuous versus intermittent infusion of temocillin, a directed spectrum penicillin for intensive care patients with nosocomial pneumonia: stability, compatibility, population pharmacokinetic studies and breakpoint selection.
J Antimicrob Chemother 2008 ; 61, 2: 382-388.
3520 Laboratuar Cidomycin - Summary of product Chracteristics.
Sanofi 2011
3529 Laboratuar Ciprofloxacin – Summary of Product Characteristics
Hospira 2013
3545 Laboratuar Amoxicilline / acide clavulanique - Résumé des caractéristiques du produit
Mylan SAS 2009
3549 Laboratuar Amikacine B Braun - Résumé des caractéristiques du produit.
B Braun 2012
3643 Laboratuar Gentamicin sulphate (Cidomycin®) - Summary of Product Characteristics
Sanofi 2015
3674 Laboratuar Erythromycin lactobionate - Summary of Product Characteristics
PanPharma 2016
3791 afiş Sadou Yaye H, Burtet E, Hamel C, Aljhni R, Gard C, Tilleul P.
Étude de la compatibilité physico-chimique du phloroglucinol injectable durant les mélanges au sein des tubulures en Y.
Apifh Congress, Paris November 2014 2014
3824 Dergi Boudi S, Roy H, Forest JM, Leclair G.
Compatibilité physique de l'association amoxicilline-acide clavulanique en injection avec plusieurs autres médicaments lors d'une administration en Y.
Pharmactuel 2023 2023;56,3:91-98
3948 Dergi Bouchoud L, Fonzo-Christe C, Klingm?ller M, Bonnabry P .
Compatibility of Intravenous Medications With Parenteral Nutrition - In Vitro Evaluation.
JPEN 2012 ;30. 416?424.
4470 Dergi Claeysoone K, Basma V, Hens R, Van Bambeke F, de Jongh R, Tulkens P.
Continuous versus intermittent infusion of temocillin in intensive care unit patient.
Critical care 2005 ; 9(Suppl 1) P37
4524 afiş Stucki C, Sautter A-M, Bonnabry P.
Physical compatibility of the propofol emulsion with 33 drugs used in anaesthesiology.
ESCP Symposium, Geneva, Switzerland 2009
4654 afiş Sicard G, Donnette M, Martin N, Gensollen S, Pourroy B, Fanciullino R.
Compatibilité visuelle du Vyxeos® lors d'administration en Y avec une sélection de médicaments injectables.
Communication personnelle 2021
4922 Dergi Wanandy T, Handley SA, Le TTA, Lau WY, Turner ME, Wiese MD.
Stability of Antibiotics for Use in the Testing of Immediate Drug Allergy Reactions.
J Allergy Clin Immunol Pract 2024 13, 2: 343-352.

  Mentions Légales