Viimeisin päivitys :
27/01/2026
Antibiootit   Amoxicillin sodium / clavulanic acid  
Injektioneste
Oraaliliuos
Stabilius liuoksessa Stabilius seoksissa Tekijät, jotka vaikuttavat stabiliuteen Yhteensopivuus Antotapa Viitteet pdf
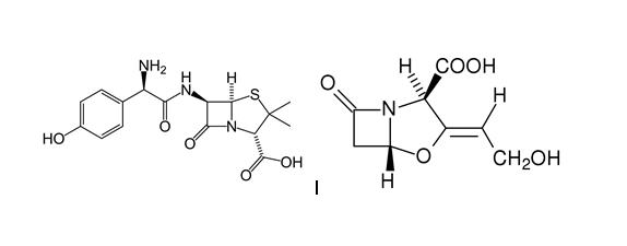
   Kemiallinen rakenne  

Kauppanimi   Kauppanimi     

Trade names are indicative and excipients composition can be different depending on the country and manufacturers

Aktil Unkari
Amoclan Saudi-Arabia
Amoklavin Turkki
Amoksiklav Puola
Amoxclav Saudi-Arabia
Amplamox Brasilia
Augmentin Belgia, Chile, Ecuador, Espanja, Hollanti, Iso-Britannia, Italia, Itävalta, Kreikka, Puola, Ranska, Saudi-Arabia, Sveitsi, Turkki, Yhdistyneet arabiemiirikunnat
Betamox Portugali
Clavamox Itävalta
Clavicin Malesia, Venezuela
Clavulin Brasilia
Co-amoxi Sveitsi
Co-Amoxicillin Sveitsi
Curam New Zealand, Saudi-Arabia
Darzitil Argentiina
Dibional Argentiina
Julmentin Yhdistyneet arabiemiirikunnat
Novamox Brasilia
Sulbamox Chile
Tarometin Puola
Trifamox Argentiina, Ecuador, Kolumbia, Meksiko
Viitteet   Injektioneste   Viitteet : Amoxicillin sodium / clavulanic acid  
tyyppi julkaisu
186 Lehti Swart EL, Mooren RAG, Van Loenen AC.
Compatibility of midazolam hydrochloride and lorazepam with selected drugs during simulated Y-site administration.
Am J Health-Syst Pharm 1995 ; 52: 2020-2022.
889 Lehti Janknegt R, Stratermans T, Cilissen J, Lohman JJHM, Hooymans PM.
Ofloxacin intravenous. Compatibility with other antibacterial agents.
Pharm Weekbl [Sci] 1991 ; 13: 207-209.
1318 Lehti Ashwin J, Lynn B, Taskis CB.
Stability and administration of intravenous Augmentin.
Pharm J 1987 ; 238: 116-118.
1357 Lehti Janknegt R, Schrouff GGM, Hooymans PM, Hermens WJHH, Lohman JJHM.
Quinolones and penicillins incompatibility.
Ann Pharmacotherapy 1989 ; 23: 91-92.
1746 Lehti Kambia N, Merite N, Dine T, Dupin-Spriet T, Gressier B, Luyckx M, Watinne C, Brunet C.
Stability studies of amoxicillin/clavulanic acid combinaison in polyolefin infusion bags.
EJHP 2010 ; 16, 30-37.
2139 Lehti Serrurier C, Chenot ED, Vigneron J, May I, Demor? B.
Assessment of injectable drug’s administration in two intensive care units and determination of potential physico-chemical incompatibilities.
EJHP Science 2006 ; 12,5: 96-99.
2231 Lehti de Jongh R, Hens R, Basma V, mouton JW, Tulkens PM, Carryn S.
Continuous versus intermittent infusion of temocillin, a directed spectrum penicillin for intensive care patients with nosocomial pneumonia: stability, compatibility, population pharmacokinetic studies and breakpoint selection.
J Antimicrob Chemother 2008 ; 61, 2: 382-388.
3520 Laboratorio Cidomycin - Summary of product Chracteristics.
Sanofi 2011
3529 Laboratorio Ciprofloxacin – Summary of Product Characteristics
Hospira 2013
3545 Laboratorio Amoxicilline / acide clavulanique - Résumé des caractéristiques du produit
Mylan SAS 2009
3549 Laboratorio Amikacine B Braun - Résumé des caractéristiques du produit.
B Braun 2012
3643 Laboratorio Gentamicin sulphate (Cidomycin®) - Summary of Product Characteristics
Sanofi 2015
3674 Laboratorio Erythromycin lactobionate - Summary of Product Characteristics
PanPharma 2016
3791 ilmoitus Sadou Yaye H, Burtet E, Hamel C, Aljhni R, Gard C, Tilleul P.
Étude de la compatibilité physico-chimique du phloroglucinol injectable durant les mélanges au sein des tubulures en Y.
Apifh Congress, Paris November 2014 2014
3824 Lehti Boudi S, Roy H, Forest JM, Leclair G.
Compatibilité physique de l'association amoxicilline-acide clavulanique en injection avec plusieurs autres médicaments lors d'une administration en Y.
Pharmactuel 2023 2023;56,3:91-98
3948 Lehti Bouchoud L, Fonzo-Christe C, Klingm?ller M, Bonnabry P .
Compatibility of Intravenous Medications With Parenteral Nutrition - In Vitro Evaluation.
JPEN 2012 ;30. 416?424.
4470 Lehti Claeysoone K, Basma V, Hens R, Van Bambeke F, de Jongh R, Tulkens P.
Continuous versus intermittent infusion of temocillin in intensive care unit patient.
Critical care 2005 ; 9(Suppl 1) P37
4524 ilmoitus Stucki C, Sautter A-M, Bonnabry P.
Physical compatibility of the propofol emulsion with 33 drugs used in anaesthesiology.
ESCP Symposium, Geneva, Switzerland 2009
4654 ilmoitus Sicard G, Donnette M, Martin N, Gensollen S, Pourroy B, Fanciullino R.
Compatibilité visuelle du Vyxeos® lors d'administration en Y avec une sélection de médicaments injectables.
Communication personnelle 2021
4922 Lehti Wanandy T, Handley SA, Le TTA, Lau WY, Turner ME, Wiese MD.
Stability of Antibiotics for Use in the Testing of Immediate Drug Allergy Reactions.
J Allergy Clin Immunol Pract 2024 13, 2: 343-352.

  Mentions Légales