最新更新 :
27/01/2026
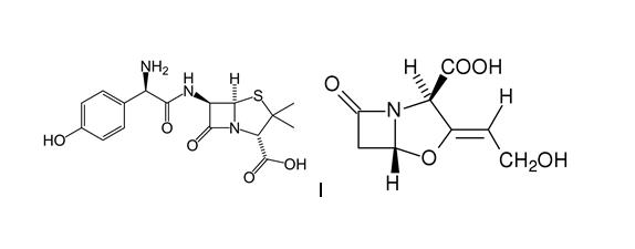
抗生素   Amoxicillin sodium / clavulanic acid  
注射液
口服剂
溶液稳定性 混合物稳定性 影响稳定性的因素 兼容性 用药途径 引用文献 PDF
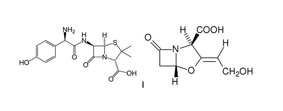
   化学式  

商品名   商品名     

商品名仅供参考, 药品所用的辅料可能依国家或厂商不同有所不同。

Aktil 匈牙利
Amoclan 沙特阿拉伯
Amoklavin 土耳其
Amoksiklav 波兰
Amoxclav 沙特阿拉伯
Amplamox 巴西
Augmentin 厄瓜多尔, 土耳其, 奥地利, 希腊, 意大利, 智利, 比利时, 沙特阿拉伯, 法国, 波兰, 瑞士, 英国, 荷兰, 西班牙, 阿联酋
Betamox 葡萄牙
Clavamox 奥地利
Clavicin 委内瑞拉, 马来西亚
Clavulin 巴西
Co-amoxi 瑞士
Co-Amoxicillin 瑞士
Curam 新西蘭, 沙特阿拉伯
Darzitil 阿根廷
Dibional 阿根廷
Julmentin 阿联酋
Novamox 巴西
Sulbamox 智利
Tarometin 波兰
Trifamox 厄瓜多尔, 哥伦比亚, 墨西哥, 阿根廷
引用文献   注射液   引用文献 : Amoxicillin sodium / clavulanic acid  
种类 出版物
186 文献 Swart EL, Mooren RAG, Van Loenen AC.
Compatibility of midazolam hydrochloride and lorazepam with selected drugs during simulated Y-site administration.
Am J Health-Syst Pharm 1995 ; 52: 2020-2022.
889 文献 Janknegt R, Stratermans T, Cilissen J, Lohman JJHM, Hooymans PM.
Ofloxacin intravenous. Compatibility with other antibacterial agents.
Pharm Weekbl [Sci] 1991 ; 13: 207-209.
1318 文献 Ashwin J, Lynn B, Taskis CB.
Stability and administration of intravenous Augmentin.
Pharm J 1987 ; 238: 116-118.
1357 文献 Janknegt R, Schrouff GGM, Hooymans PM, Hermens WJHH, Lohman JJHM.
Quinolones and penicillins incompatibility.
Ann Pharmacotherapy 1989 ; 23: 91-92.
1746 文献 Kambia N, Merite N, Dine T, Dupin-Spriet T, Gressier B, Luyckx M, Watinne C, Brunet C.
Stability studies of amoxicillin/clavulanic acid combinaison in polyolefin infusion bags.
EJHP 2010 ; 16, 30-37.
2139 文献 Serrurier C, Chenot ED, Vigneron J, May I, Demor? B.
Assessment of injectable drug’s administration in two intensive care units and determination of potential physico-chemical incompatibilities.
EJHP Science 2006 ; 12,5: 96-99.
2231 文献 de Jongh R, Hens R, Basma V, mouton JW, Tulkens PM, Carryn S.
Continuous versus intermittent infusion of temocillin, a directed spectrum penicillin for intensive care patients with nosocomial pneumonia: stability, compatibility, population pharmacokinetic studies and breakpoint selection.
J Antimicrob Chemother 2008 ; 61, 2: 382-388.
3520 实验室 Cidomycin - Summary of product Chracteristics.
Sanofi 2011
3529 实验室 Ciprofloxacin – Summary of Product Characteristics
Hospira 2013
3545 实验室 Amoxicilline / acide clavulanique - Résumé des caractéristiques du produit
Mylan SAS 2009
3549 实验室 Amikacine B Braun - Résumé des caractéristiques du produit.
B Braun 2012
3643 实验室 Gentamicin sulphate (Cidomycin®) - Summary of Product Characteristics
Sanofi 2015
3674 实验室 Erythromycin lactobionate - Summary of Product Characteristics
PanPharma 2016
3791 海报 Sadou Yaye H, Burtet E, Hamel C, Aljhni R, Gard C, Tilleul P.
Étude de la compatibilité physico-chimique du phloroglucinol injectable durant les mélanges au sein des tubulures en Y.
Apifh Congress, Paris November 2014 2014
3824 文献 Boudi S, Roy H, Forest JM, Leclair G.
Compatibilité physique de l'association amoxicilline-acide clavulanique en injection avec plusieurs autres médicaments lors d'une administration en Y.
Pharmactuel 2023 2023;56,3:91-98
3948 文献 Bouchoud L, Fonzo-Christe C, Klingm?ller M, Bonnabry P .
Compatibility of Intravenous Medications With Parenteral Nutrition - In Vitro Evaluation.
JPEN 2012 ;30. 416?424.
4470 文献 Claeysoone K, Basma V, Hens R, Van Bambeke F, de Jongh R, Tulkens P.
Continuous versus intermittent infusion of temocillin in intensive care unit patient.
Critical care 2005 ; 9(Suppl 1) P37
4524 海报 Stucki C, Sautter A-M, Bonnabry P.
Physical compatibility of the propofol emulsion with 33 drugs used in anaesthesiology.
ESCP Symposium, Geneva, Switzerland 2009
4654 海报 Sicard G, Donnette M, Martin N, Gensollen S, Pourroy B, Fanciullino R.
Compatibilité visuelle du Vyxeos® lors d'administration en Y avec une sélection de médicaments injectables.
Communication personnelle 2021
4922 文献 Wanandy T, Handley SA, Le TTA, Lau WY, Turner ME, Wiese MD.
Stability of Antibiotics for Use in the Testing of Immediate Drug Allergy Reactions.
J Allergy Clin Immunol Pract 2024 13, 2: 343-352.

  Mentions Légales