zadnja posodobitev :
27/04/2026
Antimikotik   Amphotericin B liposomale  
Brizgalka
Kapljice za oči
Stabilnost raztopine Stabilnost mešanice Faktorji, ki vplivajo na stabilnost Kompatibilnost način aplikacije Viri pdf
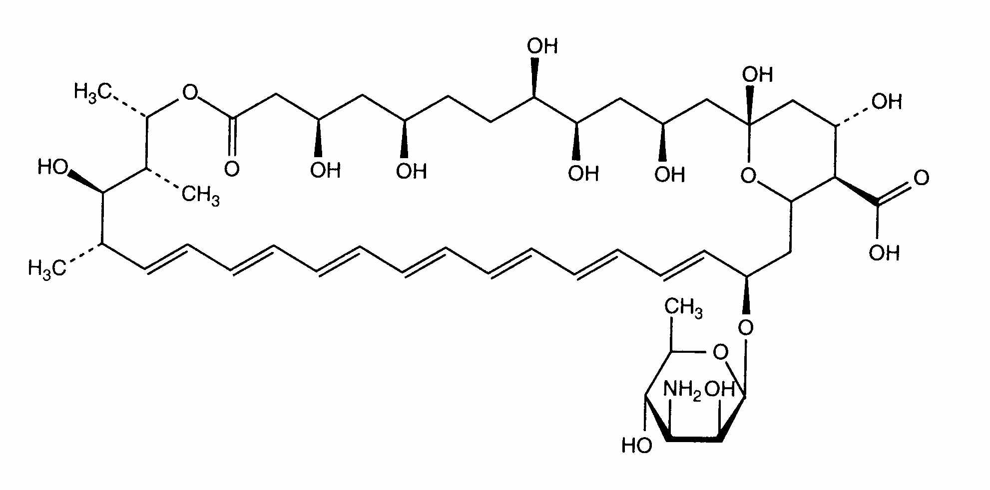
Liposom   Kemična formula  

Lastniško ime   Lastniško ime     

Sestava pomožnih snovi je med paralelami lahko različna

Ambisome Argentina, Avstrija, Belgija, Brazilija, Čile, Danska, Egipt, Finska, Francija, Grčija, Indija, Irska, Islandija, Italija, Japonska, Kanada, Luksemburg, Madžarska, Nemčija, Nizozemska, Norveška, nova Zelandija, Peru, Poljska, Portugalska, Savdska Arabija, Španija, Švedska, Švica, Tajska, Turčija, Velika Britanija, Združene države Amerike, Združeni arabski emirati
Stabilnost raztopine   Brizgalka   Stabilnost raztopine : Amphotericin B liposomale     
Vsebnik Topilo Koncentracija Temperatura Shranjevanje Trajanje stabilnosti Viri
Steklo Voda za injekcije 4 mg/ml 23-27°C Zaščiteno pred svetlobo
24 čas
3398
Podatki stabilnosti proizvajalca

Steklo Voda za injekcije 4 mg/ml 4°C Nedoločeno
7 Dan
3398
Podatki stabilnosti proizvajalca

Steklo Voda za injekcije 4 mg/ml 4°C Nedoločeno
7 Dan
4821
 Stopnja dokaza D

Polipropilen Voda za injekcije 4 mg/ml 4°C Nedoločeno
7 Dan
3398
Podatki stabilnosti proizvajalca

Nedoločeno Glukoza 5% 0,2 & 2 mg/ml 4°C Nedoločeno
7 Dan
4821
 Stopnja dokaza D

Nedoločeno Glukoza 5% 0,2 >> 2 mg/ml 2-8°C Nedoločeno
7 Dan
3398
Podatki stabilnosti proizvajalca

Nedoločeno Glukoza 5% 0,2 >> 2 mg/ml 23-27°C Nedoločeno
72 čas
3398
Podatki stabilnosti proizvajalca


  Mentions Légales