Poslední aktualizace :
27/04/2026
Protiplísňový přípravek   Amphotericin B liposomale  
injekce
Humbuk
Stabilita roztoků Stabilita směsí Faktory ovlivňující stabilitu Kompatibilita Způsoby aplikace Odkazy pdf
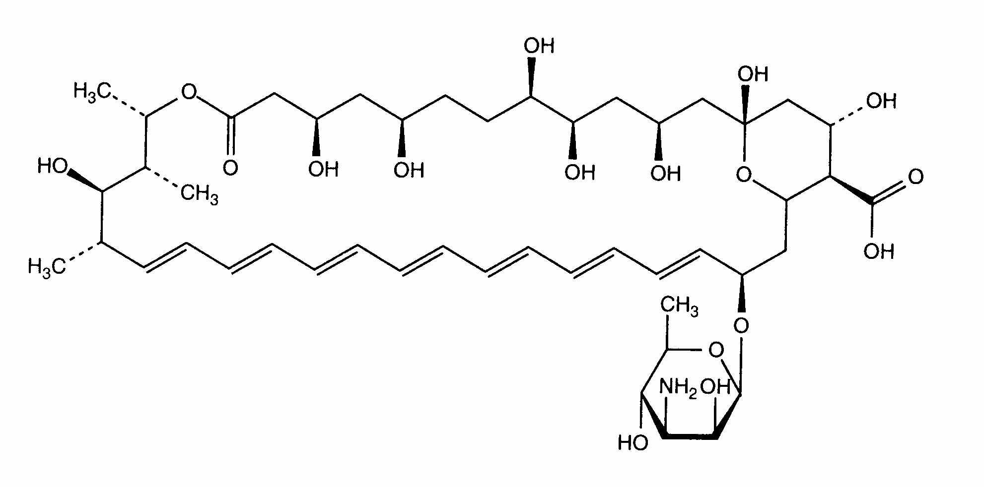
Lipozom   Chemický vzorec  

Obchodní název   Obchodní název     

Trade names are indicative and excipients composition can be different depending on the country and manufacturers

Ambisome äpanÏlsko, Argentina, Belgie, BrazÌlie, Chile, Dánsko, Egypt, Finsko, Francie, Indie, Irsko, Island, Itálie, Japonsko, Kanada, Lucembursko, MaÔarsko, NÏmecko, Nizozemsko, Norsko, nový Zéland, Peru, Polsko, Portugalsko, Rakousko, Saúdská Arábie, Spojené arabské emiráty, Švédsko, Švýcarsko, Thajsko, Turecko, USA, Velká Británie, ÿecko
Stabilita roztoků   injekce   Stabilita roztoků : Amphotericin B liposomale     
Obal RozpouötÏdlo Koncentrace Teplota Uchovávání Trvání stability Odkazy
Sklo Voda pro injekci 4 mg/ml 23-27°C Chráněno před světlem
24 Hodina
3398
Údaje o stabilitě od výrobce

Sklo Voda pro injekci 4 mg/ml 4°C Nespecifikováno
7 Den
3398
Údaje o stabilitě od výrobce

Sklo Voda pro injekci 4 mg/ml 4°C Nespecifikováno
7 Den
4821
Úroveň zkoušky D

polypropylen Voda pro injekci 4 mg/ml 4°C Nespecifikováno
7 Den
3398
Údaje o stabilitě od výrobce

Nespecifikováno GlukÛza 5% 0,2 & 2 mg/ml 4°C Nespecifikováno
7 Den
4821
Úroveň zkoušky D

Nespecifikováno GlukÛza 5% 0,2 >> 2 mg/ml 2-8°C Nespecifikováno
7 Den
3398
Údaje o stabilitě od výrobce

Nespecifikováno GlukÛza 5% 0,2 >> 2 mg/ml 23-27°C Nespecifikováno
72 Hodina
3398
Údaje o stabilitě od výrobce


  Mentions Légales