Letztes “update” :
27/04/2026
Antifungoid   Amphotericin B liposomale  
Injektion
Augentropfen
Stabilität der Lösung Gemengestabilität Stabilitätbeeinflussende Faktoren Kompatibilitäten Applikationsart Literaturverzeichnis pdf
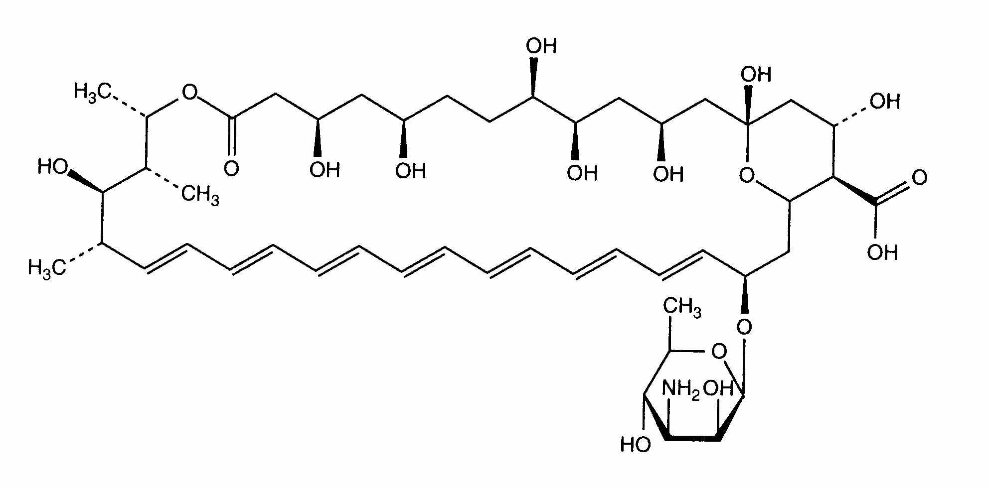
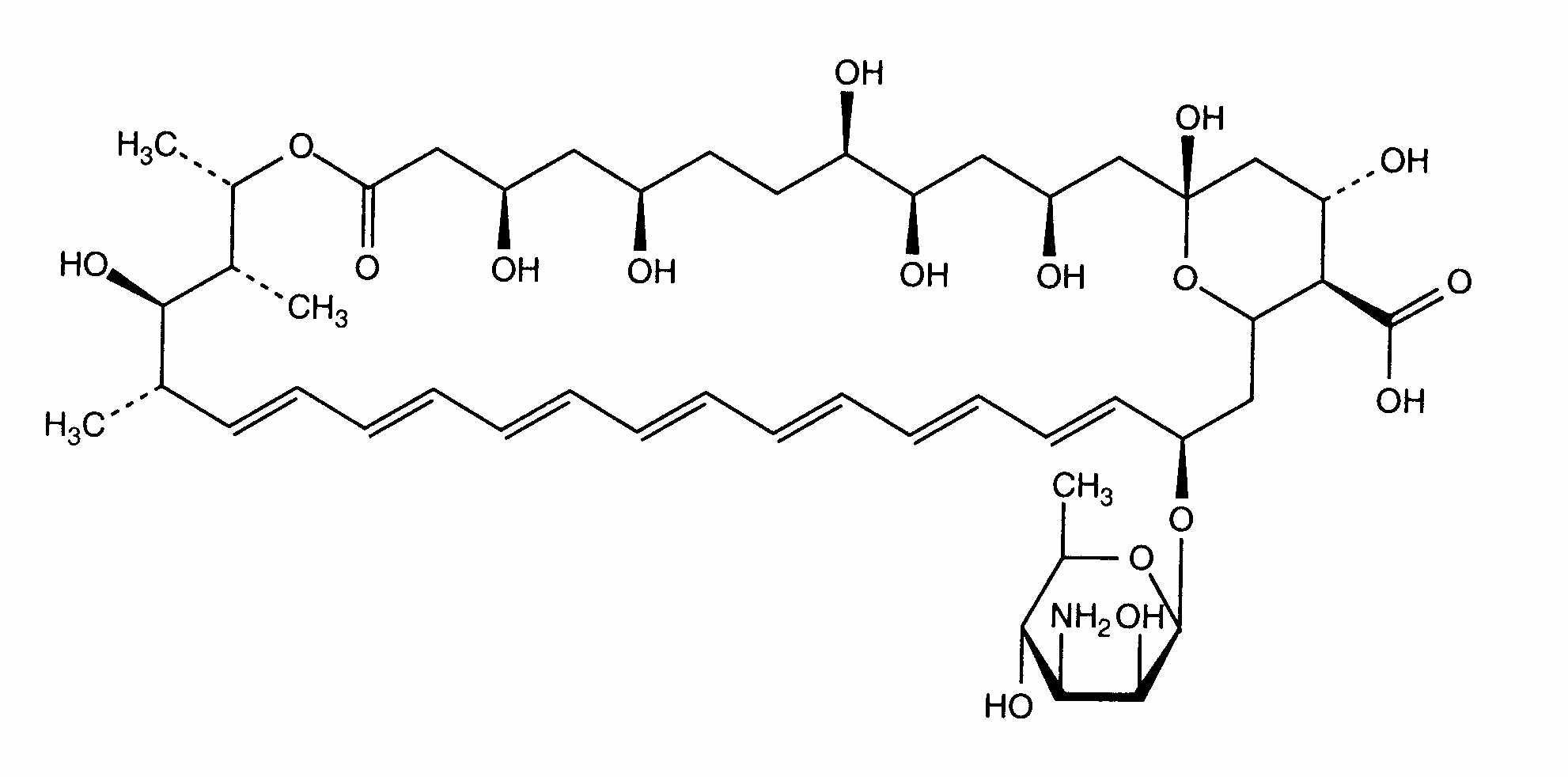
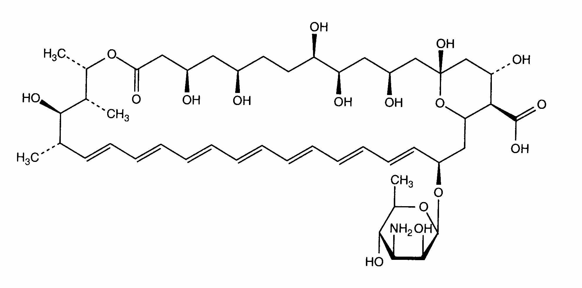
Liposom   Chemische Struktur  

Handelsmarke   Handelsmarke     

Handelsnamen sind als beispielhaft anzusehen. Sonstige Bestandteile können je nach Hersteller oder Land verschieden sein

Ambisome Ägypten, Argentinien, Belgien, Brasilien, Chile, Dänemark, Deutschland, Finnland, Frankreich, Griechenland, Großbritannien, Indien, Irland, Island, Italien, Japan, Kanada, Luxemburg, Neuseeland, Niederlande, Norwegen, Österreich, Peru, Polen, Portugal, Saudi-Arabien, Schweden, Schweiz, Spanien, Thailand, Türkei, Ungarn, Vereinigte Arabische Emirate, Vereinigte Staaten von Amerika
Stabilität der Lösung   Injektion   Stabilität der Lösung : Amphotericin B liposomale     
Behälter Lösungsmittel Konzentration Temperatur Konservierung Dauer der Stabilität Literaturverzeichnis
Glas Wasser für injektable präparate 4 mg/ml 23-27°C Ohne Licht
24 Stunde
3398
Stabilitätsdaten des Herstellers

Glas Wasser für injektable präparate 4 mg/ml 4°C Nicht genau angegeben
7 Tag
3398
Stabilitätsdaten des Herstellers

Glas Wasser für injektable präparate 4 mg/ml 4°C Nicht genau angegeben
7 Tag
4821
Evidenzgrad D

Polypropylen Wasser für injektable präparate 4 mg/ml 4°C Nicht genau angegeben
7 Tag
3398
Stabilitätsdaten des Herstellers

Nicht genau angegeben 5% Glucose 0,2 & 2 mg/ml 4°C Nicht genau angegeben
7 Tag
4821
Evidenzgrad D

Nicht genau angegeben 5% Glucose 0,2 >> 2 mg/ml 2-8°C Nicht genau angegeben
7 Tag
3398
Stabilitätsdaten des Herstellers

Nicht genau angegeben 5% Glucose 0,2 >> 2 mg/ml 23-27°C Nicht genau angegeben
72 Stunde
3398
Stabilitätsdaten des Herstellers


  Mentions Légales