Dernière mise à jour :
27/04/2026
Antifongique   Amphotericin B liposomale  
injectable
Collyre
Stabilité des solutions Stabilité en mélange Facteur influençant la stabilité Compatibilités Voie d’administration Bibliographie pdf
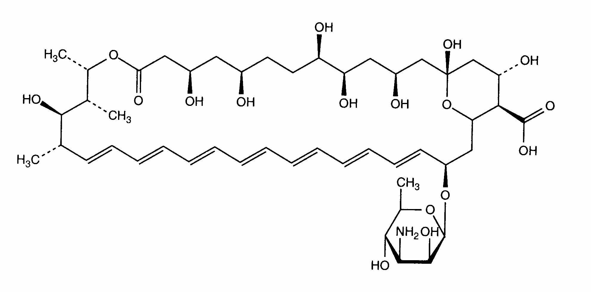
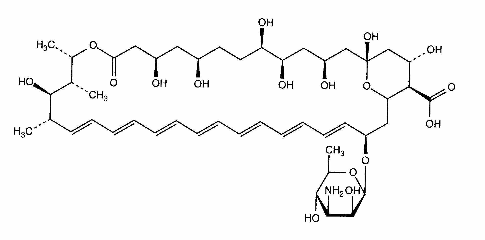
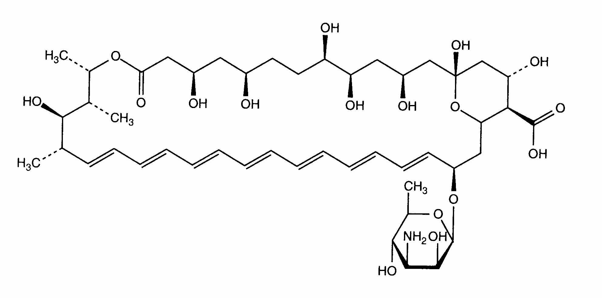
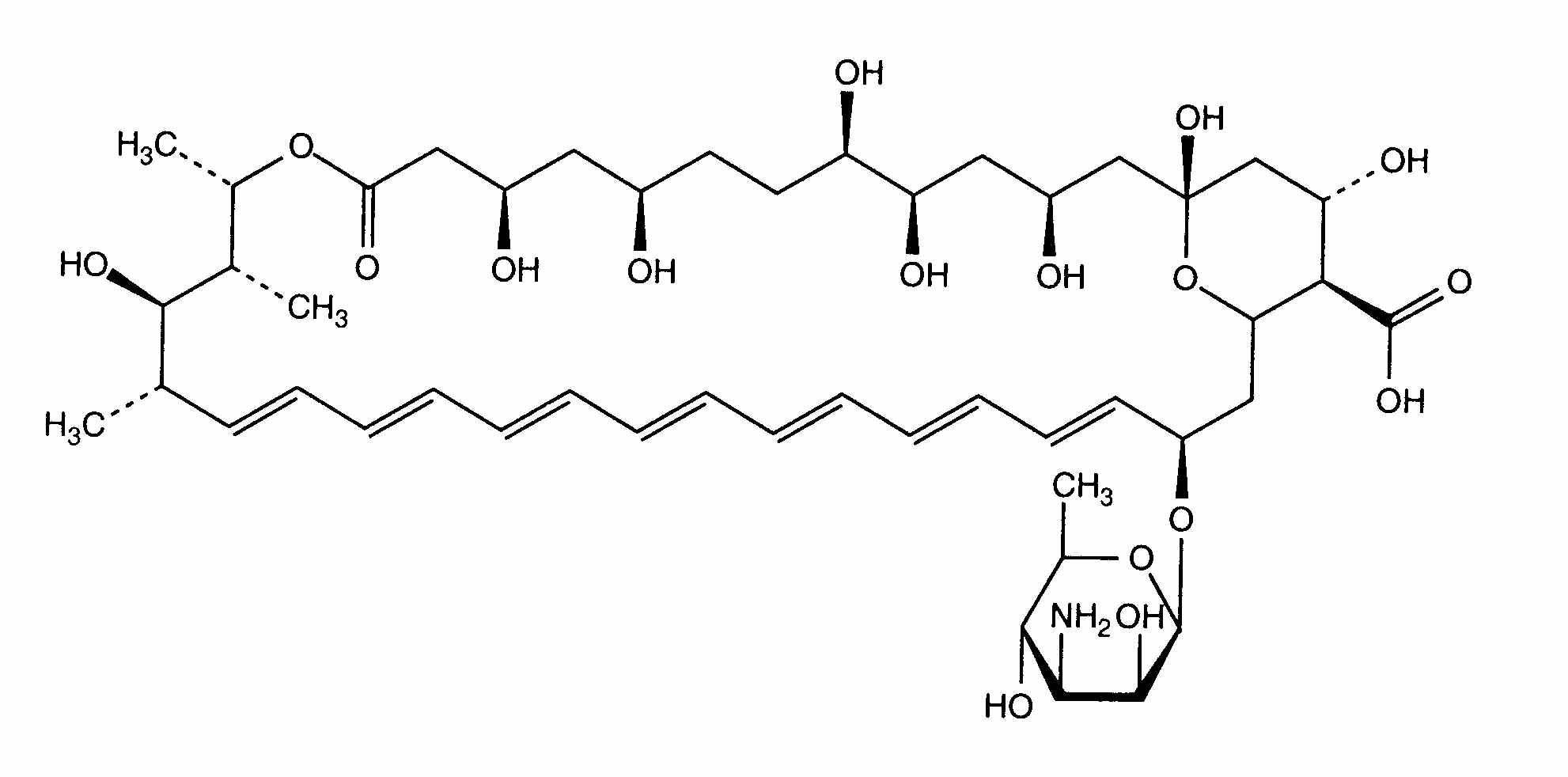
Liposome   Structure chimique  

Noms commerciaux   Noms commerciaux     

Les noms commerciaux sont donnés à titre indicatif et la composition en excipients peut être différente selon les pays et selon les laboratoires

Ambisome Allemagne, Arabie Saoudite, Argentine, Autriche, Belgique, Brésil, Canada, Chili, Danemark, Egypte, Emirats Arabes Unis , Espagne, Etats Unis d’Amérique, Finlande, France, Grande Bretagne, Grèce, Hongrie, Inde, Irlande, Islande, Italie, Japon, Luxembourg, Norvège, Nouvelle Zélande, Pays bas, Pérou, Pologne, Portugal, Suède, Suisse, Thaïlande, Turquie
Stabilité des solutions   injectable   Stabilité des solutions : Amphotericin B liposomale     
Contenant Solvant Concentration Température Conservation Durée de stabilité Bibliographie
Verre Eau pour préparation injectable 4 mg/ml 23-27°C A l’abri de la lumière
24 Heure
3398
Données de stabilité du fabricant

Verre Eau pour préparation injectable 4 mg/ml 4°C Non précisée
7 Jour
3398
Données de stabilité du fabricant

Verre Eau pour préparation injectable 4 mg/ml 4°C Non précisée
7 Jour
4821
Niveau de preuve D

Polypropylène Eau pour préparation injectable 4 mg/ml 4°C Non précisée
7 Jour
3398
Données de stabilité du fabricant

Non précisé Glucose 5% 0,2 & 2 mg/ml 4°C Non précisée
7 Jour
4821
Niveau de preuve D

Non précisé Glucose 5% 0,2 >> 2 mg/ml 2-8°C Non précisée
7 Jour
3398
Données de stabilité du fabricant

Non précisé Glucose 5% 0,2 >> 2 mg/ml 23-27°C Non précisée
72 Heure
3398
Données de stabilité du fabricant


  Mentions Légales