Τελευταία ενημέρωση :
27/04/2026
Αντιμυκητικό   Amphotericin B liposomale  
Ενέσιμο
Οφθαλμικές σταγόνες
Σταθερότητα διαλυμάτων Σταθερότητα σε μίγματα Παράγοντας που επηρεάζει τη σταθερότητα Συμβατότητες Τρόπος χορήγησης Βιβλιογραφία pdf
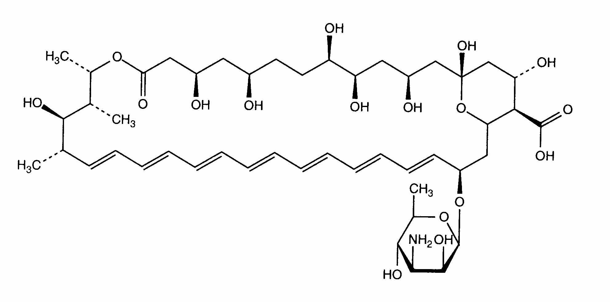
Λιπόσωμα   χημική δομή  

Εμπορική ονομασία   Εμπορική ονομασία     

Οι εμπορικές ονομασίες είναι ενδεικτικές και η σύνθεση των εκδόχων μπορεί να διαφέρει ανάλογα με τη χώρα και τα εργαστήρια

Ambisome Yhdistyneet arabiemiirikunnat, Αίγυπτος, Αργεντινή, Αυστρία, Βέλγιο, Βραζιλία, Γαλλία, Γερμανία, Δανία, Ελβετία, Ελλάδα, Η.Π.Α., Ιαπωνία, Ινδία, Ιρλανδία, Ισλανδία, Ισπανία, Ιταλία, Καναδάς, Λουξεμβούργο, Μεγάλη Βρετανία, νέα Ζηλανδία, Νορβηγία, Ολλανδία, Ουγγαρία, Περού, Πολωνία, Πορτογαλία, Σαουδική Αραβία, Σουηδία, Ταϊλάνδη, Τουρκία, Φινλανδία, Χιλή
Σταθερότητα διαλυμάτων   Ενέσιμο   Σταθερότητα διαλυμάτων : Amphotericin B liposomale     
Υποδοχέας Διαλυτικό Συγκέντρωση Θερμοκρασία Αποθήκευση Διάρκεια σταθερότητας Βιβλιογραφία
Ύαλος Ενέσιμο ύδωρ 4 mg/ml 23-27°C Προστατεύετε από το φως
24 Ώρα
3398
Δεδομένα σταθερότητας του κατασκευαστή/ών

Ύαλος Ενέσιμο ύδωρ 4 mg/ml 4°C Απροσδιόριστο
7 Ημέρα
3398
Δεδομένα σταθερότητας του κατασκευαστή/ών

Ύαλος Ενέσιμο ύδωρ 4 mg/ml 4°C Απροσδιόριστο
7 Ημέρα
4821
Επίπεδο των αποδεικτικών στοιχείων D

Πολυπροπυλένιο Ενέσιμο ύδωρ 4 mg/ml 4°C Απροσδιόριστο
7 Ημέρα
3398
Δεδομένα σταθερότητας του κατασκευαστή/ών

Απροσδιόριστο Γλυκόζη 5% 0,2 & 2 mg/ml 4°C Απροσδιόριστο
7 Ημέρα
4821
Επίπεδο των αποδεικτικών στοιχείων D

Απροσδιόριστο Γλυκόζη 5% 0,2 >> 2 mg/ml 2-8°C Απροσδιόριστο
7 Ημέρα
3398
Δεδομένα σταθερότητας του κατασκευαστή/ών

Απροσδιόριστο Γλυκόζη 5% 0,2 >> 2 mg/ml 23-27°C Απροσδιόριστο
72 Ώρα
3398
Δεδομένα σταθερότητας του κατασκευαστή/ών


  Mentions Légales