Последно актуализиране :
27/04/2026
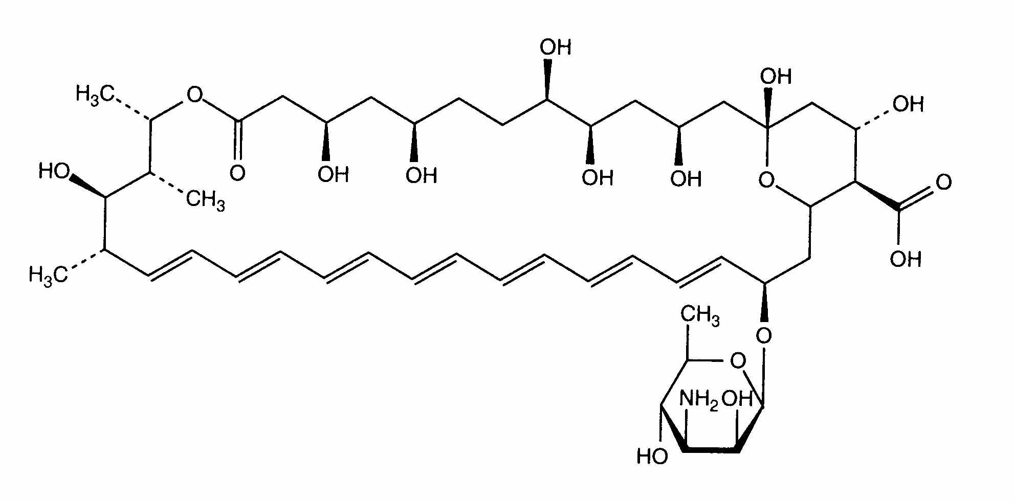
Противогъбично средство   Amphotericin B liposomale  
Инжекция/Инжекционен
Капки за очи
Стабилност на разтвори Стабилност на смеси Фактори, повлияващи стабилността Съвместимост Път на въвеждане Библиография Pdf
липозомен   Химична структура  

Търговско наименование   Търговско наименование     

Търговските имена са примерни и съставът на помощните вещества може да бъде различен в зависимост от държавата и лабораториите

Ambisome Австрия, Аржентина, Белгия, Бразилия, Великобритания, Германия, Гърция, Дания, Египет, Индия, Ирландия, Исландия, Испания, Италия, Канада, Люксенбург, нова Зеландия, Норвегия, Обединени арабски емирства, Перу, Полша, Португалия, Саудитска Арабия, Съединени Американски щати / САЩ, Тайланд, Турция, Унгария, Финландия, Франция, Холандия, Чили, Швейцария, Швеция, Япония
Стабилност на разтвори   Инжекция/Инжекционен   Стабилност на разтвори : Amphotericin B liposomale     
Контейнер Разтворител Концентрация Температура Съхранение Продължителност на стабилността Библиография
Стъкло Вода за инжекции 4 mg/ml 23-27°C Защита от светлина
24 Час
3398
Данни за стабилност на производителя

Стъкло Вода за инжекции 4 mg/ml 4°C Не е уточнено
7 Ден
3398
Данни за стабилност на производителя

Стъкло Вода за инжекции 4 mg/ml 4°C Не е уточнено
7 Ден
4821
Степен на доказаност D

Полипропилен Вода за инжекции 4 mg/ml 4°C Не е уточнено
7 Ден
3398
Данни за стабилност на производителя

Не е уточнено Glucose 5% 0,2 & 2 mg/ml 4°C Не е уточнено
7 Ден
4821
Степен на доказаност D

Не е уточнено Glucose 5% 0,2 >> 2 mg/ml 2-8°C Не е уточнено
7 Ден
3398
Данни за стабилност на производителя

Не е уточнено Glucose 5% 0,2 >> 2 mg/ml 23-27°C Не е уточнено
72 Час
3398
Данни за стабилност на производителя


  Mentions Légales