Última actualización :
27/04/2026
Antifúngico   Amphotericin B liposomale  
Inyectables
Gotas oculares
Estabilidad en solucion Estabilidad en mezcla Factores que influyen sobre la estabilidad Compatibilidades método de inyección Bibliografía pdf
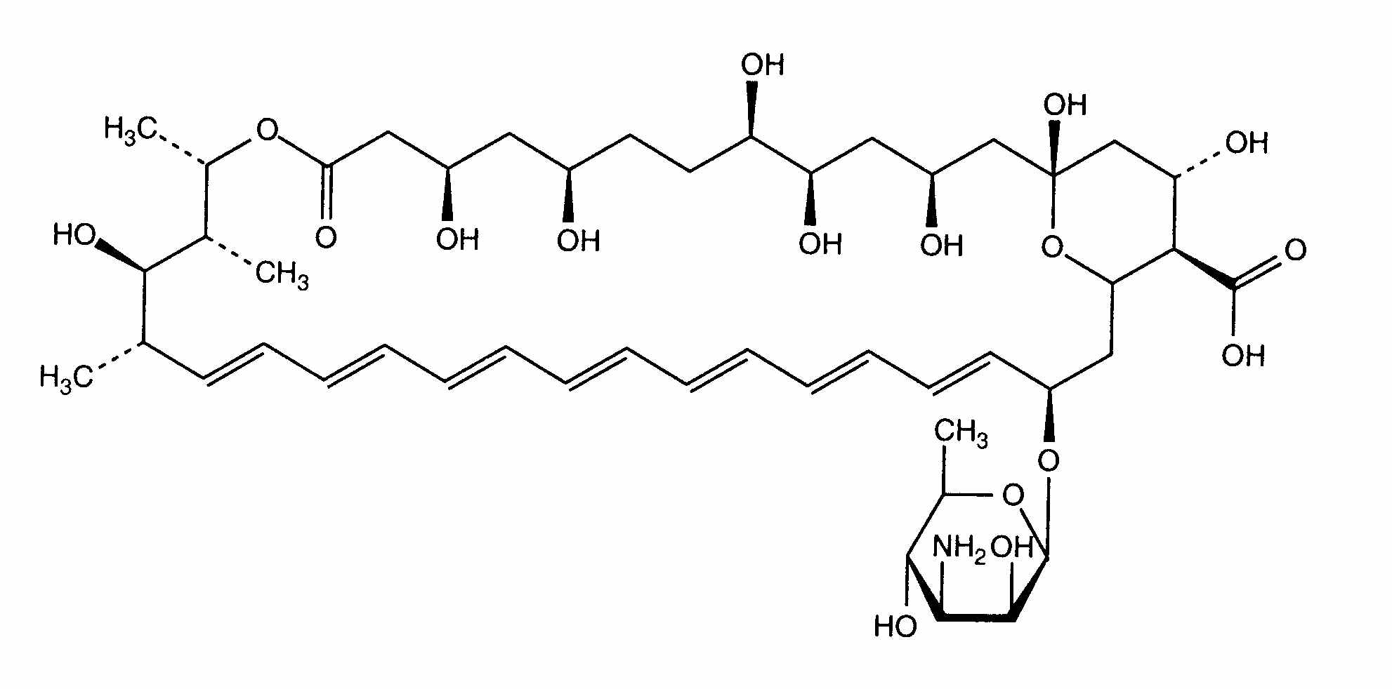
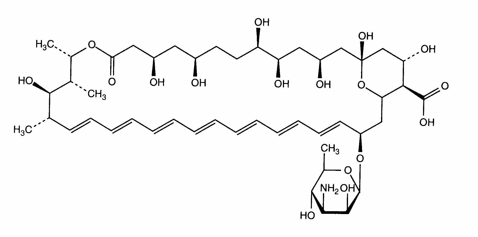
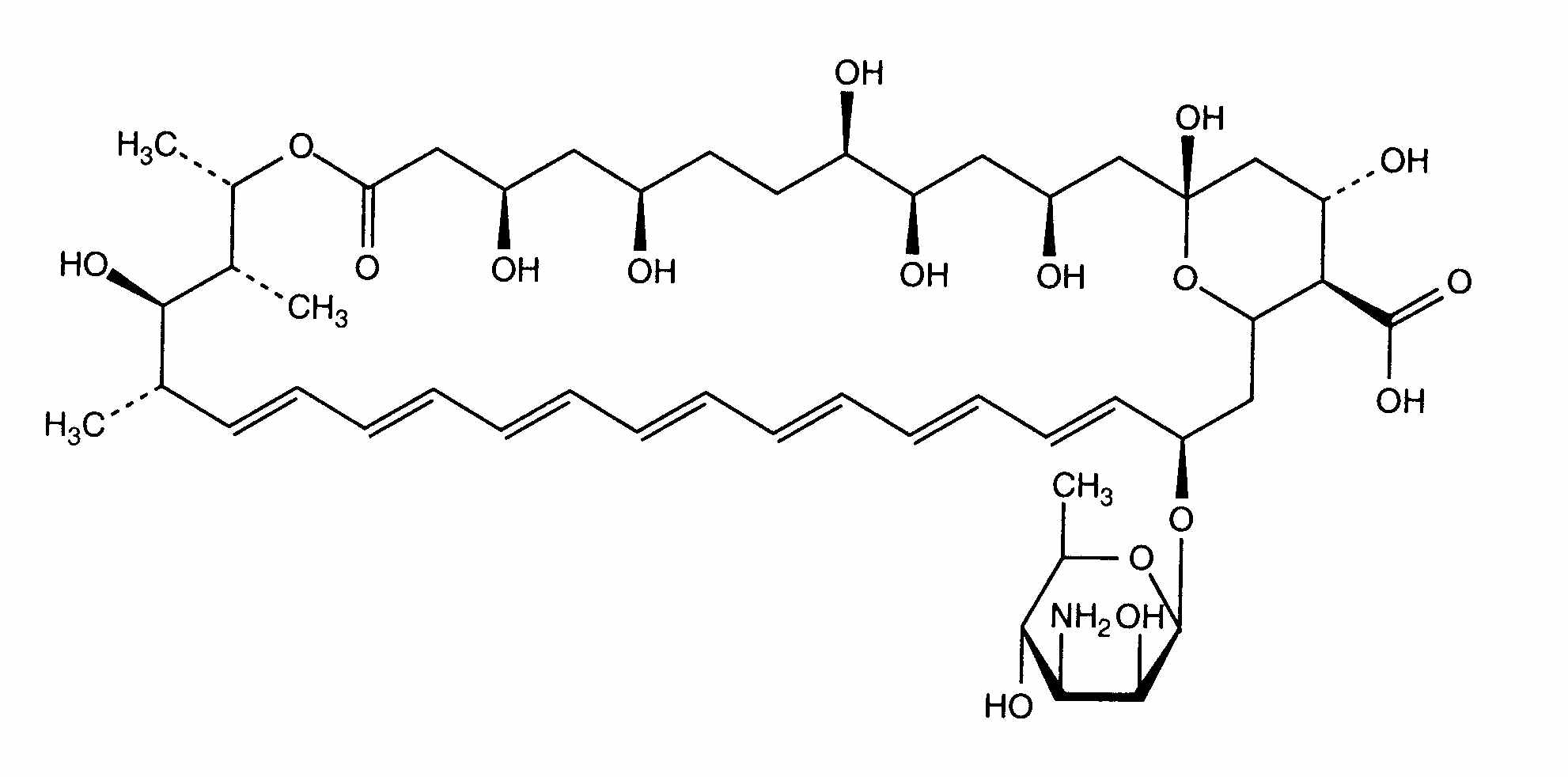
Liposoma   Estructura química  

Nombre comercial   Nombre comercial     

Los nombres comerciales son orientativos y los excipientes de la formulación pueden ser distintos dependiendo del país y del laboratorio fabricante.

Ambisome Alemania, Arabia Saudita, Argentina, Austria, Bélgica, Brasil, Canadá, Chile, Dinamarca, Egipto, Emiratos Árabes Unidos, España, Estados Unidos de América, Finlandia, Francia, Gran Bretaña, Grecia, Hungría, India, Irlanda, Islandia, Italia, Japón, Luxemburgo, Marruecos, Noruega, Nueva Zelanda, Países Bajos, Polonia, Portugal, Suecia, Suiza, Tailandia, Turquía

Factores que influyen sobre la estabilidad   Inyectables   Factores que influyen sobre la estabilidad : Amphotericin B liposomale        
Bibliografía
Solvente Cloruro de sodio 0,9% Provoque Degradación 3398
Solvente Agua + bacteriostático Provoque Degradación 3398
Temperatura 25°C Provoque Disminución de la estabilidad 4821

  Mentions Légales