zadnja posodobitev :
27/04/2026
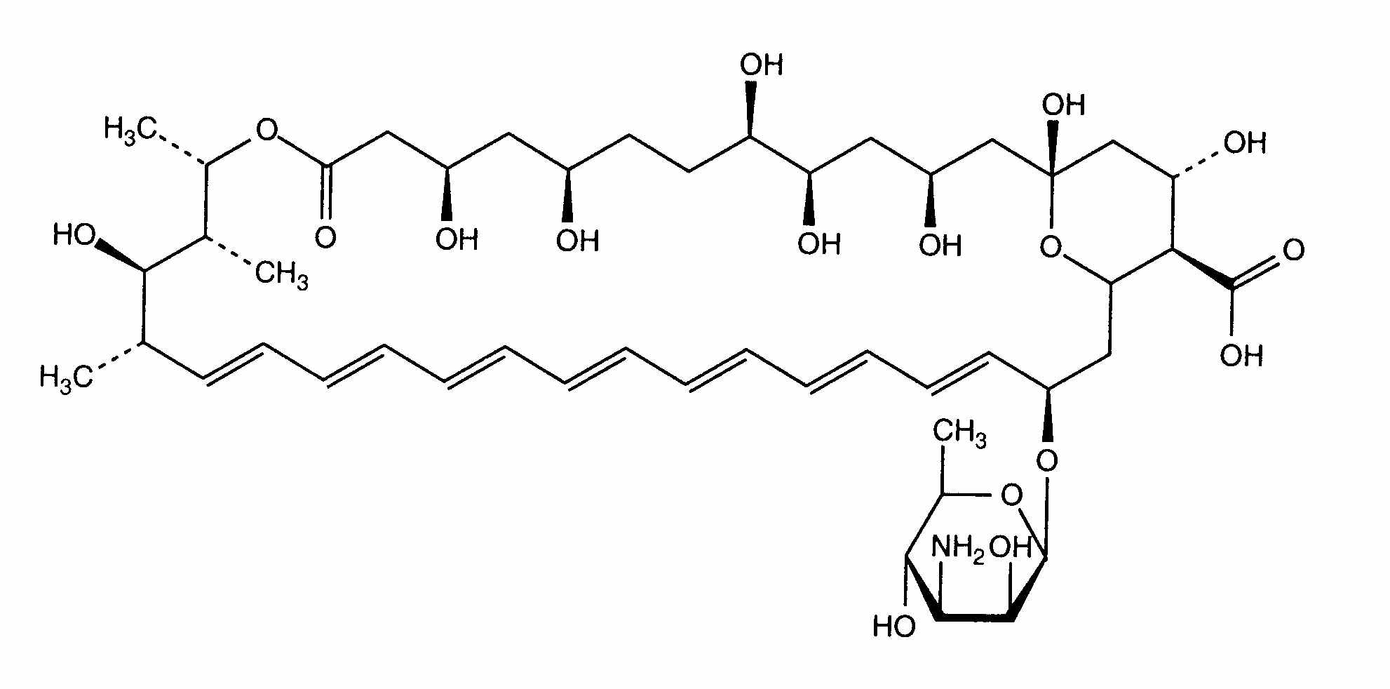
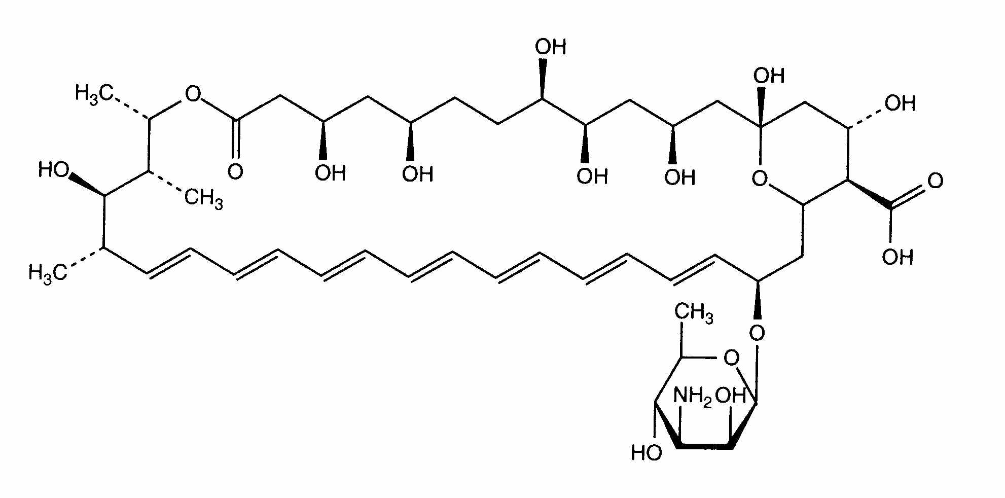
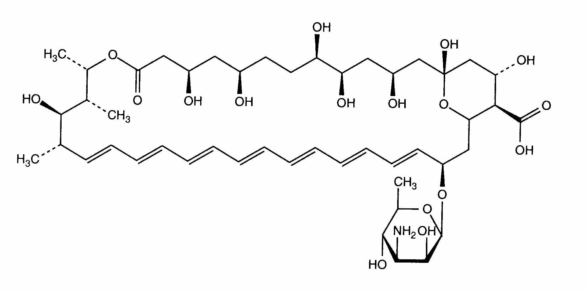
Antimikotik   Amphotericin B liposomale  
Brizgalka
Kapljice za oči
Stabilnost raztopine Stabilnost mešanice Faktorji, ki vplivajo na stabilnost Kompatibilnost način aplikacije Viri pdf
Liposom   Kemična formula  

Lastniško ime   Lastniško ime     

Sestava pomožnih snovi je med paralelami lahko različna

Ambisome Argentina, Avstrija, Belgija, Brazilija, Čile, Danska, Egipt, Finska, Francija, Grčija, Indija, Irska, Islandija, Italija, Japonska, Kanada, Luksemburg, Madžarska, Nemčija, Nizozemska, Norveška, nova Zelandija, Peru, Poljska, Portugalska, Savdska Arabija, Španija, Švedska, Švica, Tajska, Turčija, Velika Britanija, Združene države Amerike, Združeni arabski emirati

Faktorji, ki vplivajo na stabilnost   Brizgalka   Faktorji, ki vplivajo na stabilnost : Amphotericin B liposomale        
Viri
Topilo Natrijev klorid 0,9% Inducirati Degradacija 3398
Topilo Voda za injekcije + antibiotik Inducirati Degradacija 3398
Temperatura 25°C Inducirati Zmanjšana stabilnost 4821

  Mentions Légales