Seneste opdatering :
27/04/2026
Antisvampe   Amphotericin B liposomale  
Injektion
Øjendråber
Stabilitet i (vandige) opløsninger Stabilitet i blandinger Faktorer der påvirker stabiliteten Kompatibilitet Administrationsvej Bibliografi pdf
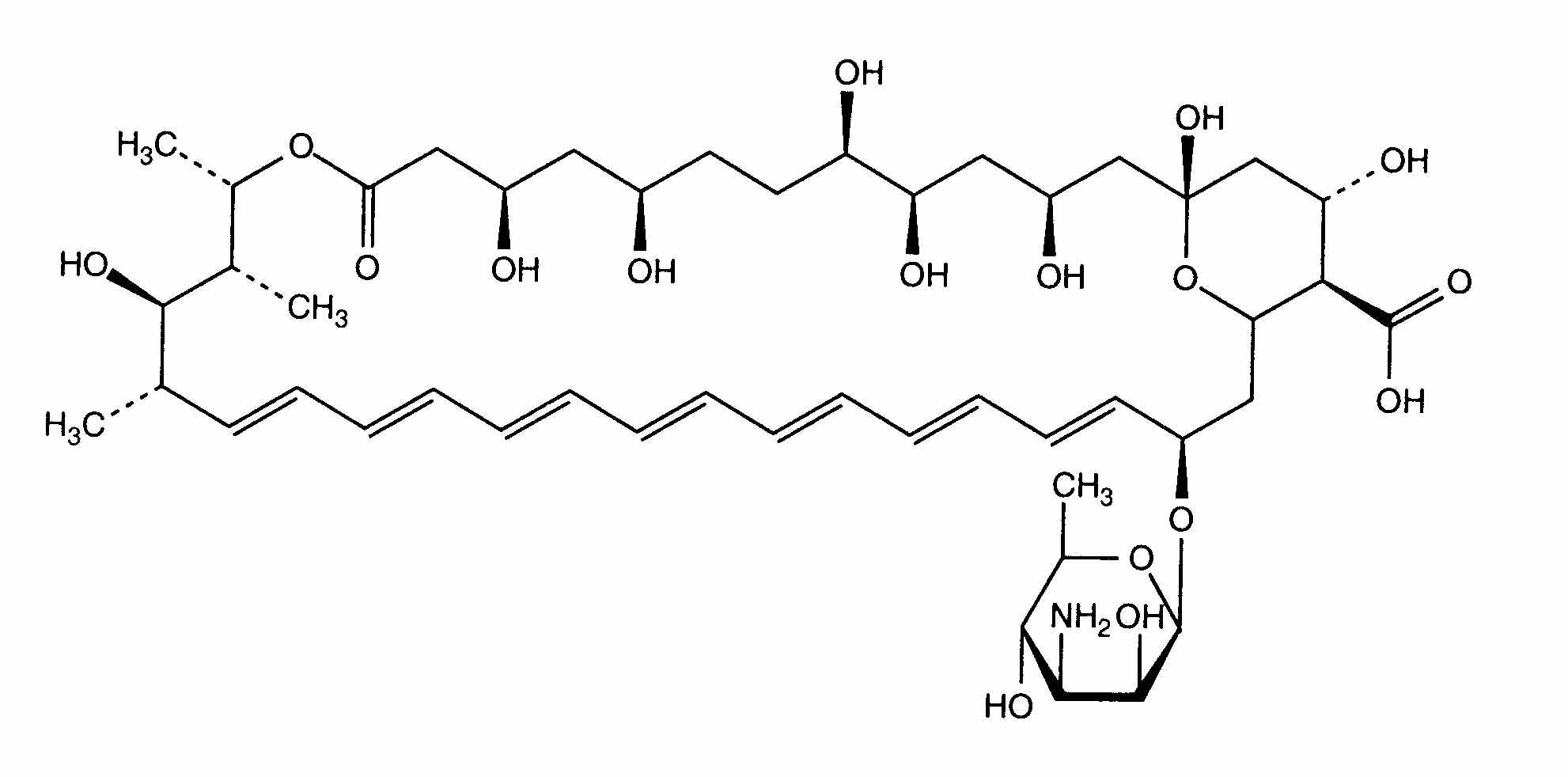
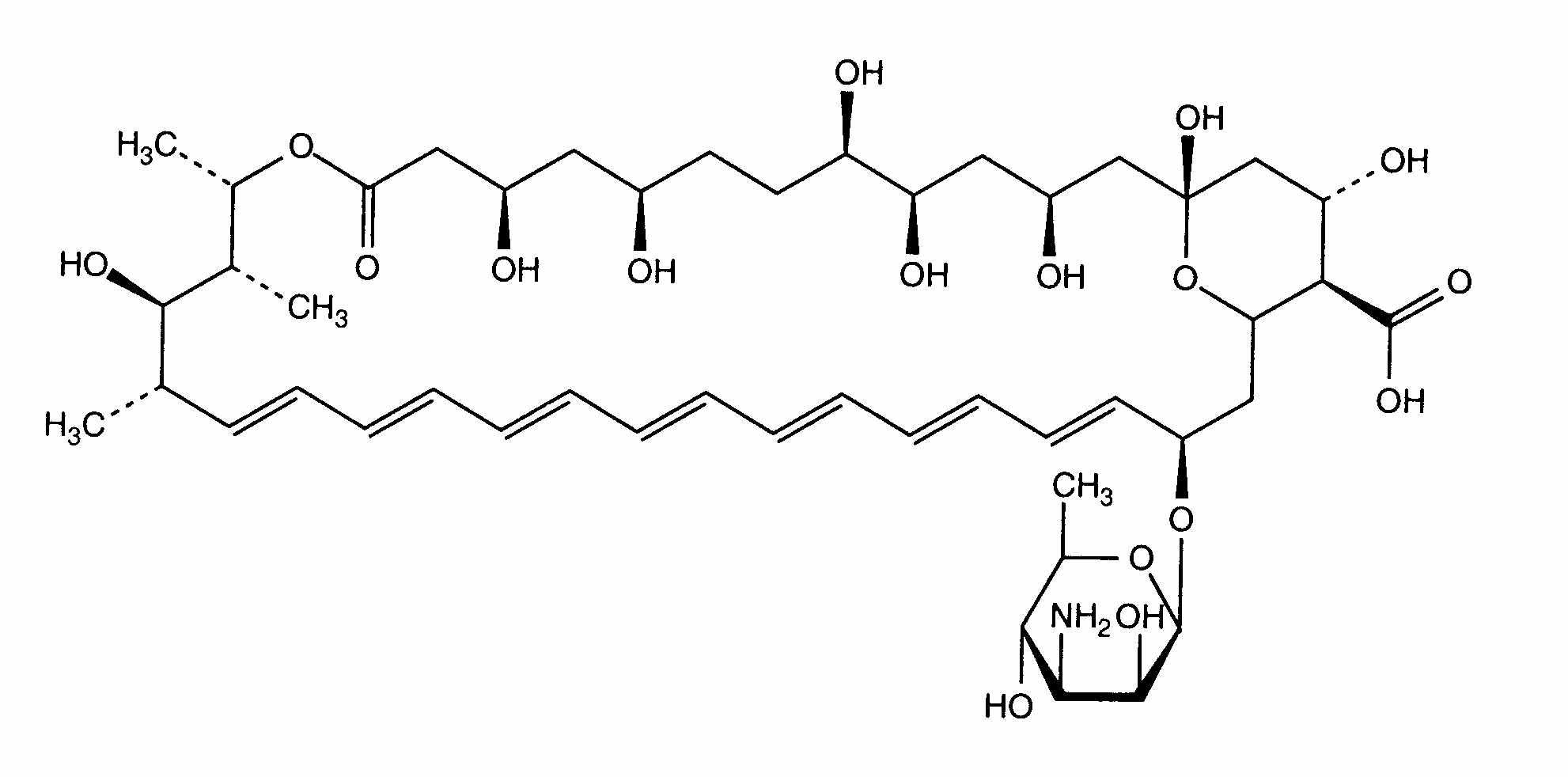
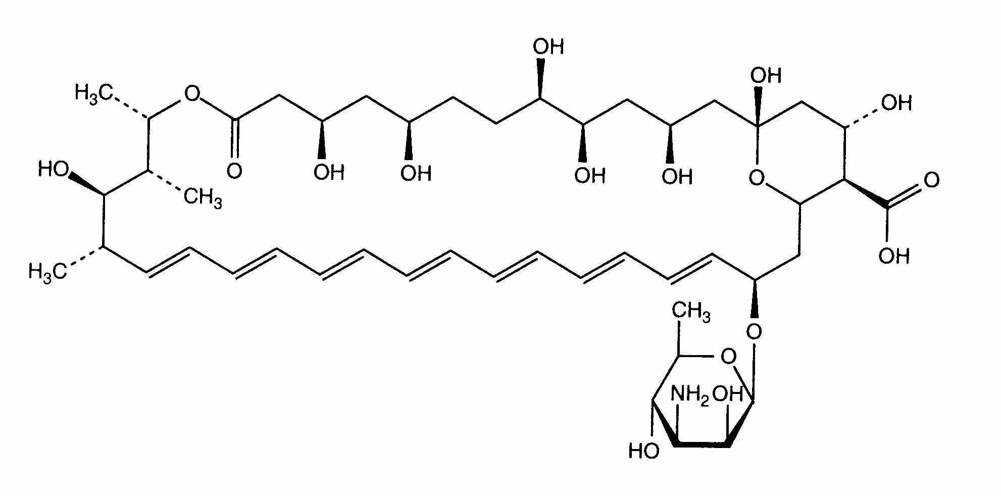
Liposom   Kemisk struktur  

Handelsnavn   Handelsnavn     

Handel navne er vejledende og hjælpestoffer sammensætning kan være forskellig afhængigt af landet og laboratorier

Ambisome Argentina, Belgien, Brasilien, Canada, Chile, Danmark, Finland, Forenede Arabiske Emirater, Frankrig, Grækenland, Holland, Indien, Irland, Island, Italien, Japan, Luxemborg, Marokko, New Zealand, Norge, Polen, Portugal, Saudi-Arabien, Schweiz, Spanien, Storbritanien, Sverige, Thailand, Tyrkiet, Tyskland, Ungarn, USA, Ægypten, Østrig

Faktorer der påvirker stabiliteten   Injektion   Faktorer der påvirker stabiliteten : Amphotericin B liposomale        
Bibliografi
Opløsningsmiddel 0,9 % Natriumklorid Fremkalde Nedbrydning 3398
Opløsningsmiddel Vand til injektion + antibakteriel Fremkalde Nedbrydning 3398
Temperatur 25°C Fremkalde Nedsat stabilitet 4821

  Mentions Légales