Poslední aktualizace :
27/04/2026
Protiplísňový přípravek   Amphotericin B liposomale  
injekce
Humbuk
Stabilita roztoků Stabilita směsí Faktory ovlivňující stabilitu Kompatibilita Způsoby aplikace Odkazy pdf
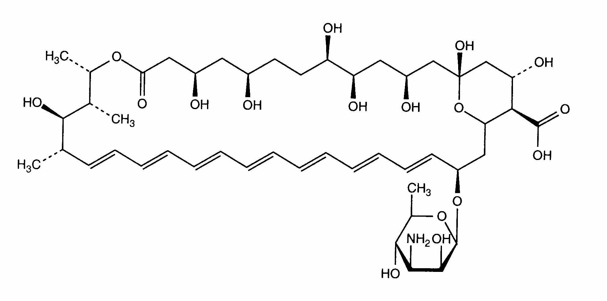
Lipozom   Chemický vzorec  

Obchodní název   Obchodní název     

Trade names are indicative and excipients composition can be different depending on the country and manufacturers

Ambisome äpanÏlsko, Argentina, Belgie, BrazÌlie, Chile, Dánsko, Egypt, Finsko, Francie, Indie, Irsko, Island, Itálie, Japonsko, Kanada, Lucembursko, MaÔarsko, NÏmecko, Nizozemsko, Norsko, nový Zéland, Peru, Polsko, Portugalsko, Rakousko, Saúdská Arábie, Spojené arabské emiráty, Švédsko, Švýcarsko, Thajsko, Turecko, USA, Velká Británie, ÿecko

Faktory ovlivňující stabilitu   injekce   Faktory ovlivňující stabilitu : Amphotericin B liposomale        
Odkazy
RozpouötÏdlo Chlorid sodný 0,9% Indukuje Rozklad 3398
RozpouötÏdlo Voda pro injekci +antibakteriální přísada Indukuje Rozklad 3398
Teplota 25°C Indukuje Snížená stabilita 4821

  Mentions Légales