Последно актуализиране :
27/01/2026
Противогъбично средство   Amphotericin B liposomale  
Инжекция/Инжекционен
Капки за очи
Стабилност на разтвори Стабилност на смеси Фактори, повлияващи стабилността Съвместимост Път на въвеждане Библиография Pdf
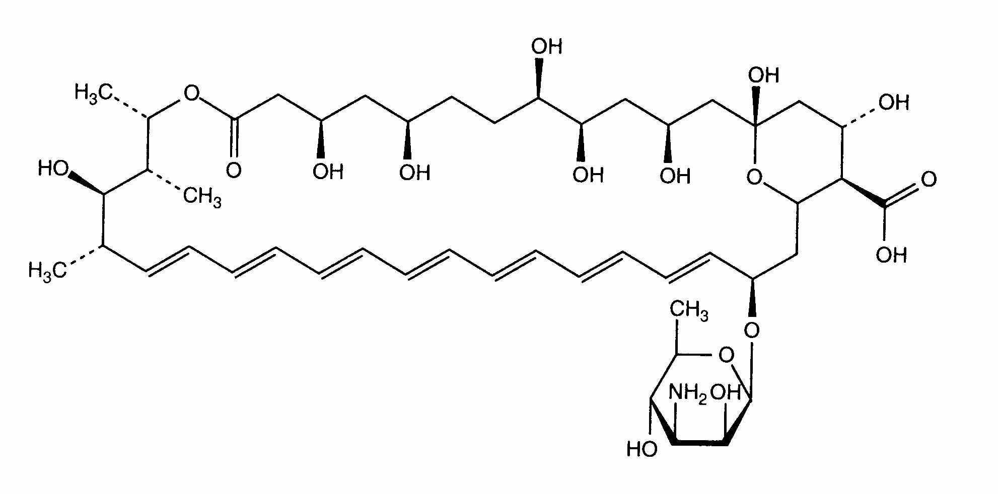
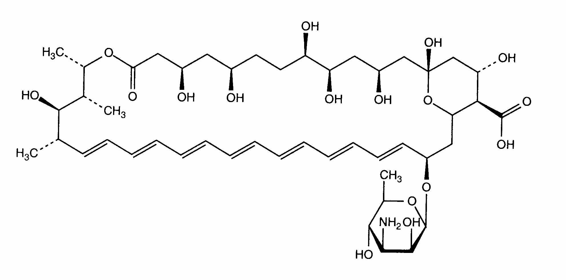
липозомен   Химична структура  

Търговско наименование   Търговско наименование     

Търговските имена са примерни и съставът на помощните вещества може да бъде различен в зависимост от държавата и лабораториите

Ambisome Австрия, Аржентина, Белгия, Бразилия, Великобритания, Германия, Гърция, Дания, Египет, Индия, Ирландия, Исландия, Испания, Италия, Канада, Люксенбург, нова Зеландия, Норвегия, Обединени арабски емирства, Перу, Полша, Португалия, Саудитска Арабия, Съединени Американски щати / САЩ, Тайланд, Турция, Унгария, Финландия, Франция, Холандия, Чили, Швейцария, Швеция, Япония

Фактори, повлияващи стабилността   Инжекция/Инжекционен   Фактори, повлияващи стабилността : Amphotericin B liposomale        
Библиография
Разтворител Sodium chloride 0,9% Предизвиква Разграждане 3398
Разтворител Вода за инжекции + антибактериално Предизвиква Разграждане 3398
Температура 25°C Предизвиква Намалена стабилност 4821

  Mentions Légales