Ostatnia aktualizacja :
27/04/2026
Lek przeciwgrzybiczny   Amphotericin B liposomale  
Injekcje
Krople oczne
Trwałość roztworów Trwałość w mieszaninie Czynnik wpływający na trwałość Zgodność Sposób podania Bibliografia pdf
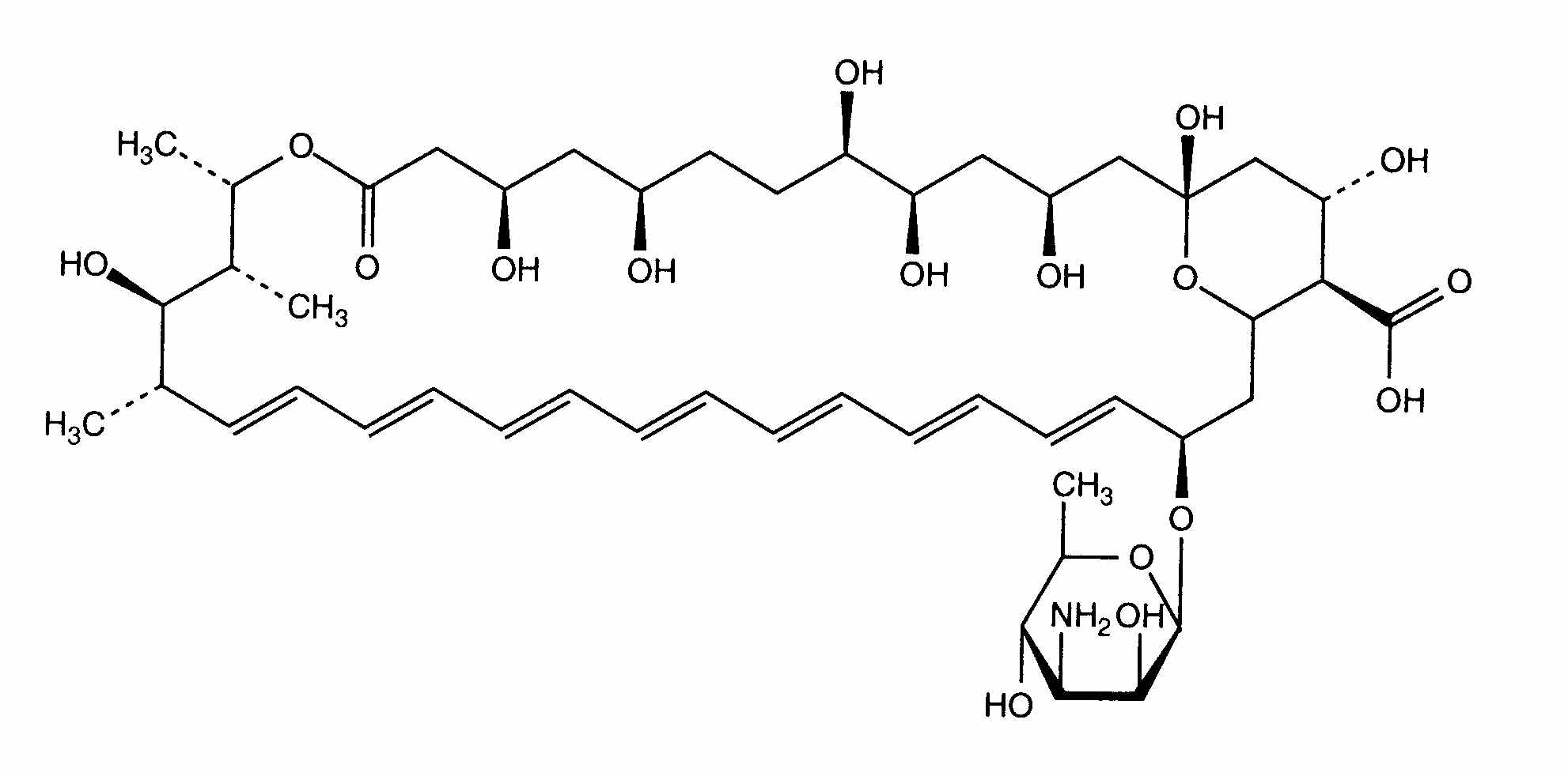
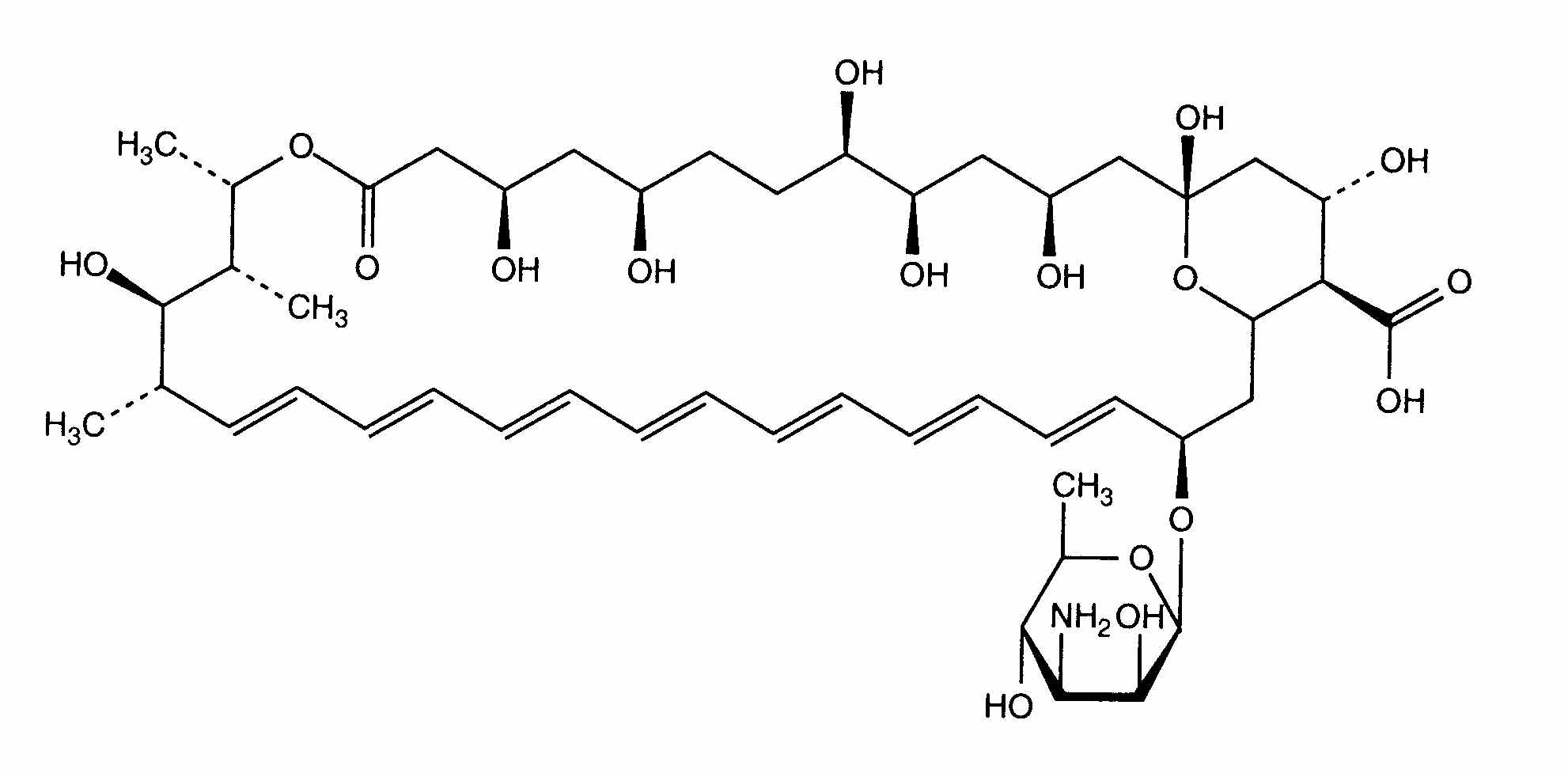
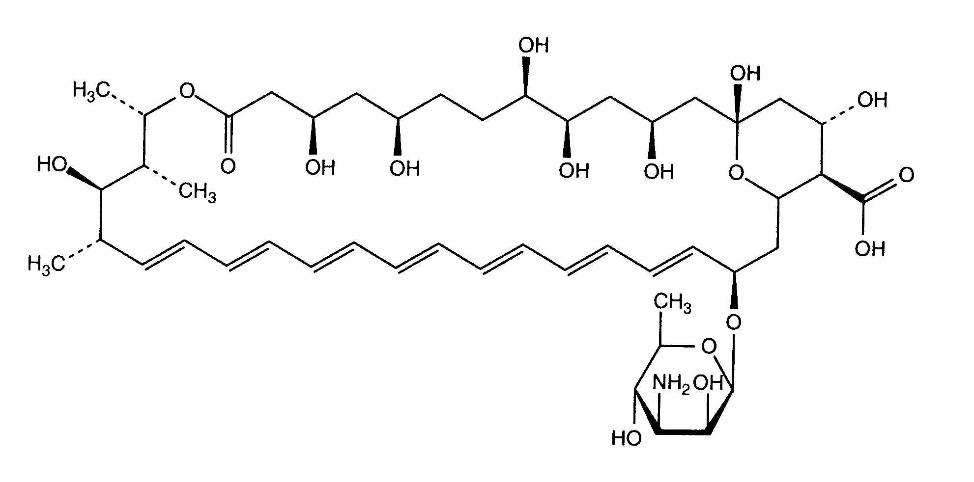
Liposomy   Struktura chemiczna  

Nazwa handlowa   Nazwa handlowa     

Trade names are indicative and excipients composition can be different depending on the country and manufacturers

Ambisome Arabia Saudyjska, Argentyna, Austria, Belgia, Brazylia, Chile, Dania, Egipt, Finlandia, Francja , Grecja, Hiszpania, Holandia, Indie, Irlandia, Islandia, Japonia, Kanada, Luksemburg, Niemcy, Norwegia, nowa Zelandia, Peru, Polska, Portugalia, Stany Zjednoczone Ameryki, Szwajcaria, Szwecja, Tajlandia, Turcja, Węgry, Wielka Brytania, Włochy, Zjednoczone Emiraty Arabskie

Czynnik wpływający na trwałość   Injekcje   Czynnik wpływający na trwałość : Amphotericin B liposomale        
Bibliografia
Rozpuszczalnik Chlorek sodu 0,9% Wywołuje Degradacja 3398
Rozpuszczalnik Woda do wstrzyknięć + bakteriostatyk Wywołuje Degradacja 3398
Temperatura 25°C Wywołuje Obniżona trwałość 4821

  Mentions Légales