Останнє оновлення :
27/04/2026
Антибіотик   Penicillin G sodium  
ін'єкція
Стійкість в розчинах Стійкість сумішей Фактори, що впливають на стабільність Сумісність Шлях введення Список літератури pdf
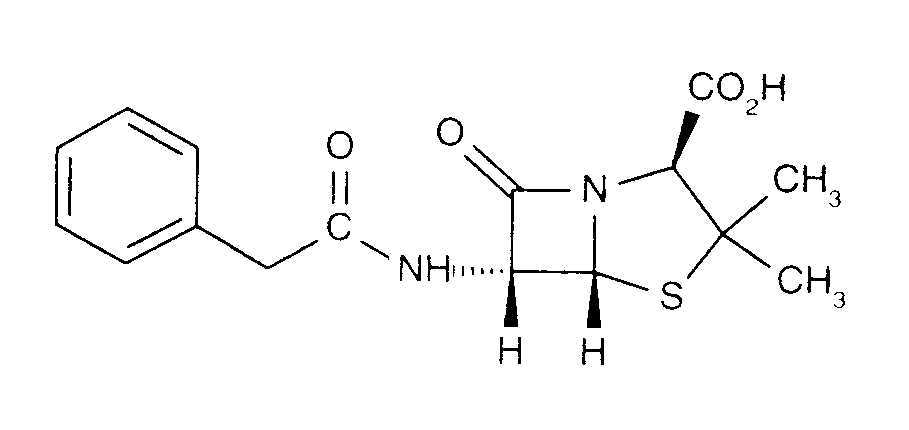
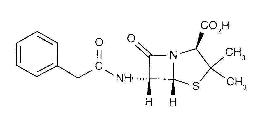
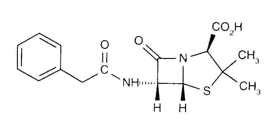
   Хімічна структура  

Торгова назва   Торгова назва     

Торгові назви є орієнтовними, а склад допоміжних речовин може бути різним залежно від країни та виробника

Benapen Бразилія
Bencilpenicilina Еквадор, Перу, Чилі
Benpen Австралія, Нова Зеландія
Bensylpenicillin Швеція
Benzapen Іран
Benzatec Південно-Африканська Республіка
Benzatron Бразилія
Benzylpenicillin Єгипет, Данія, Норвегія, Фінляндія, Швеція
Benzylpenicilline Туніс
Biconcillina Еквадор
Crystapen Ірландія, Великобританія, Канада
Declin Мексика
Fortepen Саудівська Аравія
Geepenil Фінляндія
Natrium penicillin G Нідерланди
Novopen Південно-Африканська Республіка
Pebencil Венесуела
Penbendox Мексика
Penibiot Іспанія
Penicillin Норвегія
Penicillina G sodica Аргентина, Еквадор, Колумбія, Португалія, Чилі
Penilevel Іспанія
Sodiopen Іспанія
Unicillina Іспанія

Фактори, що впливають на стабільність   ін'єкція   Фактори, що впливають на стабільність : Penicillin G sodium        
Список літератури
температура Збільшити Спонукає Знижена стійкість 3227
температура Збільшити Спонукає хімічна деградація 2056
температура Збільшити Спонукає хімічна деградація 3702
pH 6,5 < pH < 7,5 Спонукає Покращена стабільність 1263

  Mentions Légales