Последно актуализиране :
27/04/2026
Антибиотик   Penicillin G sodium  
Инжекция/Инжекционен
Стабилност на разтвори Стабилност на смеси Фактори, повлияващи стабилността Съвместимост Път на въвеждане Библиография Pdf
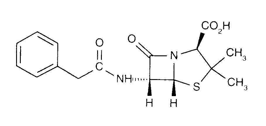
   Химична структура  

Търговско наименование   Търговско наименование     

Търговските имена са примерни и съставът на помощните вещества може да бъде различен в зависимост от държавата и лабораториите

Benapen Бразилия
Bencilpenicilina Еквадор, Перу, Чили
Benpen Австралия, нова Зеландия
Bensylpenicillin Швеция
Benzapen Иран
Benzatec Южноафриканска република / ЮАР
Benzatron Бразилия
Benzylpenicillin Дания, Египет, Норвегия, Финландия, Швеция
Benzylpenicilline Тунис
Biconcillina Еквадор
Crystapen Великобритания, Ирландия, Канада
Declin Мексико
Fortepen Саудитска Арабия
Geepenil Финландия
Natrium penicillin G Холандия
Novopen Южноафриканска република / ЮАР
Pebencil Венецуела
Penbendox Мексико
Penibiot Испания
Penicillin Норвегия
Penicillina G sodica Аржентина, Еквадор, Колумбия, Португалия, Чили
Penilevel Испания
Sodiopen Испания
Unicillina Испания

Фактори, повлияващи стабилността   Инжекция/Инжекционен   Фактори, повлияващи стабилността : Penicillin G sodium        
Библиография
Температура Увеличаване Предизвиква Намалена стабилност 3227
Температура Увеличаване Предизвиква Разграждане 2056
Температура Увеличаване Предизвиква Разграждане 3702
рН 6,5 < pH < 7,5 Предизвиква Увеличена стабилност 1263

  Mentions Légales