Son güncelleme :
27/04/2026
Antibiyotik   Penicillin G sodium  
Enjeksiyon
Çözeltilerin stabilitesi Karışımlardaki stabilitesi Stabiliteyi etkileyen faktörler Uyumluluk Uygulama yöntemi Kaynaklar pdf
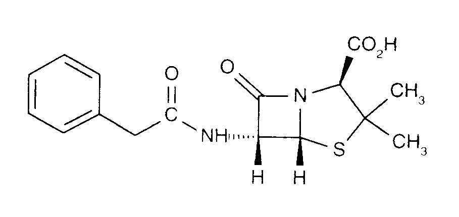
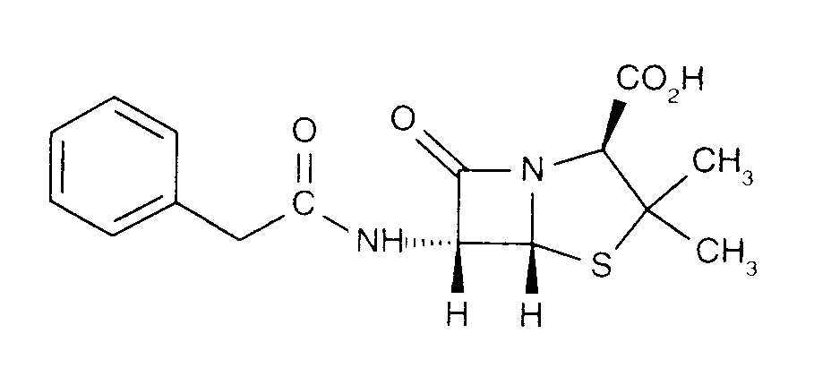
   Kimyasal yapı   

Ticari isim   Ticari isim     

Trade names are indicative and excipients composition can be different depending on the country and manufacturers

Benapen Brezilya
Bencilpenicilina Ekvador, Peru, Şili
Benpen Avustralya, yeni Zelanda
Bensylpenicillin İsveç
Benzapen İran
Benzatec Güney Afrika Cumhuriyeti
Benzatron Brezilya
Benzylpenicillin Danimarka, Finlandiya, İsveç, Mısır, Norveç
Benzylpenicilline Tunus
Biconcillina Ekvador
Crystapen Büyük Britanya, İrlanda, Kanada
Declin Meksika
Fortepen Suudi Arabistan
Geepenil Finlandiya
Natrium penicillin G Hollanda
Novopen Güney Afrika Cumhuriyeti
Pebencil Venezuela
Penbendox Meksika
Penibiot İspanya
Penicillin Norveç
Penicillina G sodica Arjantin, Ekvador, Kolombiya, Portekiz, Şili
Penilevel İspanya
Sodiopen İspanya
Unicillina İspanya

Stabiliteyi etkileyen faktörler    Enjeksiyon    Stabiliteyi etkileyen faktörler : Penicillin G sodium        
Kaynaklar
Isı Artış İndükler Stabilitede azalma 3227
Isı Artış İndükler Parçalanma 2056
Isı Artış İndükler Parçalanma 3702
pH 6,5 < pH < 7,5 İndükler Stabilitede artış 1263

  Mentions Légales