Viimeisin päivitys :
27/04/2026
Antibiootit   Penicillin G sodium  
Injektioneste
Stabilius liuoksessa Stabilius seoksissa Tekijät, jotka vaikuttavat stabiliuteen Yhteensopivuus Antotapa Viitteet pdf
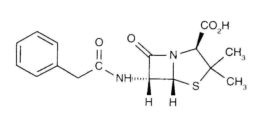
   Kemiallinen rakenne  

Kauppanimi   Kauppanimi     

Trade names are indicative and excipients composition can be different depending on the country and manufacturers

Benapen Brasilia
Bencilpenicilina Chile, Ecuador, Marokko
Benpen Australia, New Zealand
Bensylpenicillin Ruotsi
Benzapen Iran
Benzatec Etelä-Afrikka
Benzatron Brasilia
Benzylpenicillin Egypti, Norja, Ruotsi, Suomi, Tanska
Benzylpenicilline Tunisia
Biconcillina Ecuador
Crystapen Irlanti, Iso-Britannia, Kanada
Declin Meksiko
Fortepen Saudi-Arabia
Geepenil Suomi
Natrium penicillin G Hollanti
Novopen Etelä-Afrikka
Pebencil Venezuela
Penbendox Meksiko
Penibiot Espanja
Penicillin Norja
Penicillina G sodica Argentiina, Chile, Ecuador, Kolumbia, Portugali
Penilevel Espanja
Sodiopen Espanja
Unicillina Espanja

Tekijät, jotka vaikuttavat stabiliuteen   Injektioneste   Tekijät, jotka vaikuttavat stabiliuteen : Penicillin G sodium        
Viitteet
Lämpötila Nousu Aiheuttaa Alentunut stabilius 3227
Lämpötila Nousu Aiheuttaa Hajoaminen 2056
Lämpötila Nousu Aiheuttaa Hajoaminen 3702
pH 6,5 < pH < 7,5 Aiheuttaa Lisääntynyt stabilius 1263

  Mentions Légales