Letztes “update” :
27/04/2026
Antibiotikum   Penicillin G sodium  
Injektion
Stabilität der Lösung Gemengestabilität Stabilitätbeeinflussende Faktoren Kompatibilitäten Applikationsart Literaturverzeichnis pdf
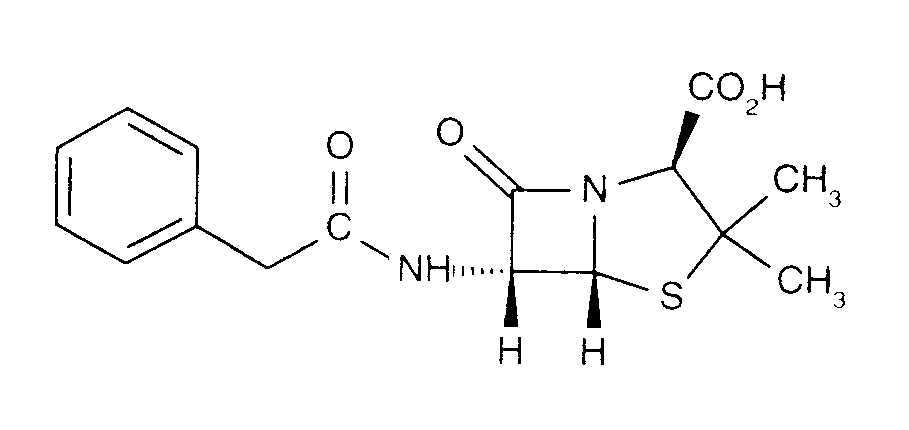
   Chemische Struktur  

Handelsmarke   Handelsmarke     

Handelsnamen sind als beispielhaft anzusehen. Sonstige Bestandteile können je nach Hersteller oder Land verschieden sein

Benapen Brasilien
Bencilpenicilina Chile, Ecuador, Peru
Benpen Australien, Neuseeland
Bensylpenicillin Schweden
Benzapen Iran
Benzatec Südafrika
Benzatron Brasilien
Benzylpenicillin Ägypten, Dänemark, Finnland, Norwegen, Schweden
Benzylpenicilline Tunesien
Biconcillina Ecuador
Crystapen Großbritannien, Irland, Kanada
Declin Mexiko
Fortepen Saudi-Arabien
Geepenil Finnland
Natrium penicillin G Niederlande
Novopen Südafrika
Pebencil Venezuela
Penbendox Mexiko
Penibiot Spanien
Penicillin Norwegen
Penicillina G sodica Argentinien, Chile, Ecuador, Kolumbien, Portugal
Penilevel Spanien
Sodiopen Spanien
Unicillina Spanien

Stabilitätbeeinflussende Faktoren   Injektion   Stabilitätbeeinflussende Faktoren : Penicillin G sodium        
Literaturverzeichnis
Temperatur Erhöhung Führt zu Stabilitätsverringerung 3227
Temperatur Erhöhung Führt zu Degradation 2056
Temperatur Erhöhung Führt zu Degradation 3702
pH 6,5 < pH < 7,5 Führt zu Stabilitätssteigerung 1263

  Mentions Légales