Ostatnia aktualizacja :
27/01/2026
Lek kuraropodobny   Cisatracurium besylate  
Injekcje
Trwałość roztworów Trwałość w mieszaninie Czynnik wpływający na trwałość Zgodność Sposób podania Bibliografia pdf
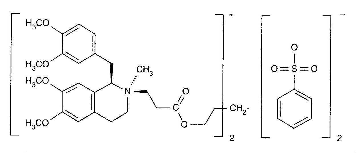
   Struktura chemiczna  

Nazwa handlowa   Nazwa handlowa     

Trade names are indicative and excipients composition can be different depending on the country and manufacturers

Bensitrak Meksyk
Besilato de cisatracurio
Cicuryl Meksyk
Cirium KolumbiaKolumbia
Cis Atracure
Cisatracurio Brazylia, Chile, Ekwador, Hiszpania, KolumbiaKolumbia, Peru, Włochy
Cisatracurium Belgia, Finlandia, Francja , Irlandia, Kanada, Niemcy, Tunisie, Węgry, Wielka Brytania
Nimbex Arabia Saudyjska, Austria, Belgia, Chile, Dania, Egipt, Ekwador, Finlandia, Francja , Grecja, Hiszpania, Holandia, Iran, Irlandia, Kanada, Luksemburg, Malezja, Meksyk, Niemcy, Norwegia, Peru, Polska, Portugalia, Stany Zjednoczone Ameryki, Szwecja, Słowenia, Tunisie, Turcja, Węgry, Wenezuela, Wielka Brytania, Włochy, Zjednoczone Emiraty Arabskie
Nimbium Brazylia, KolumbiaKolumbia
Trwałość w mieszaninie   Injekcje   Trwałość w mieszaninie : Cisatracurium besylate     
Pojemnik Rozpuszczalnik Stężenie Związek Temperatura Przechowywanie Czas trwania stabilności Bibliografia
Szkło Glukoza 5% 0.26 mg/ml
Injekcje   Cisatracurium besylate   
Injekcje   Palonosetron hydrochloride 25.4 µg/ml
25°C
4 Godzina
Nie wyszczególniony 2227
Poziom wiarygodności A+

  Mentions Légales