Laatste update :
27/01/2026
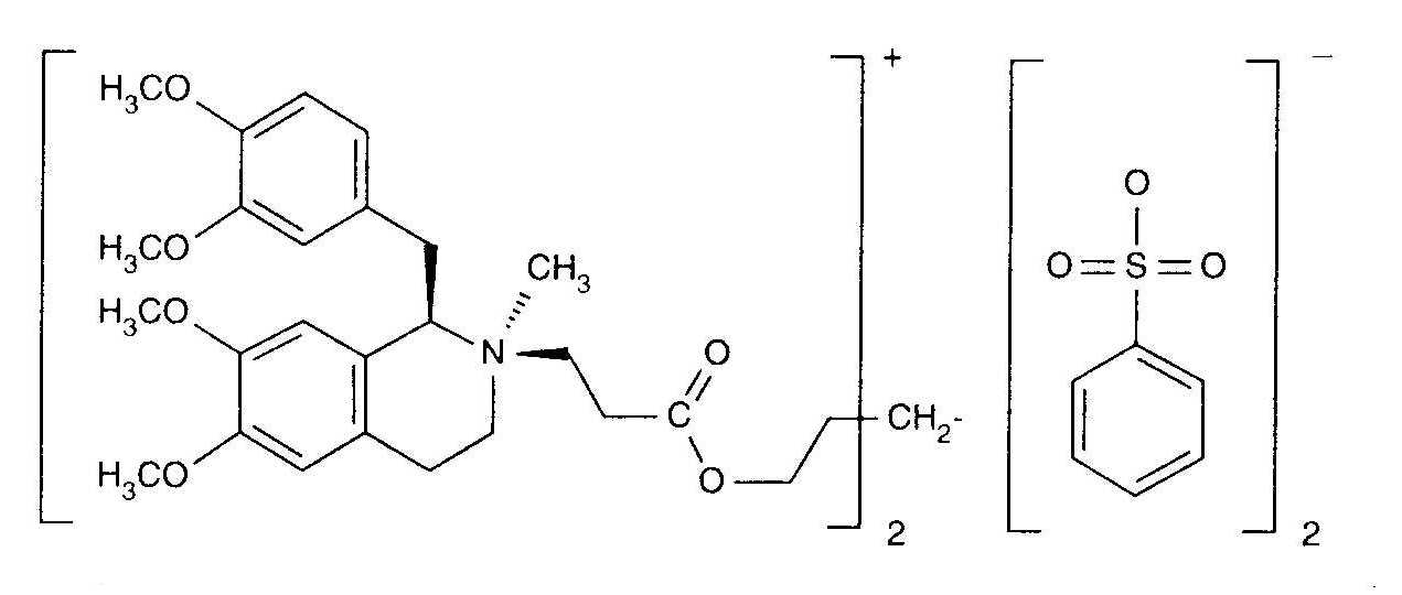
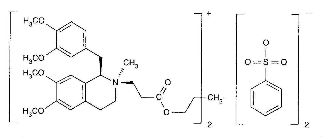
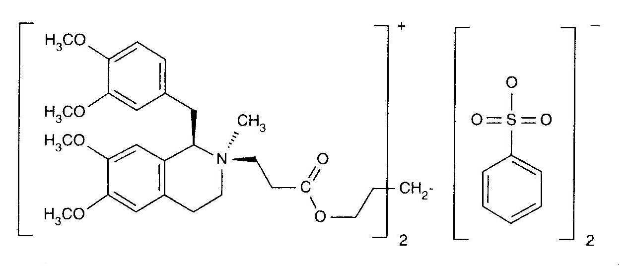
Curarimimeticum   Cisatracurium besylate  
injecteerbaar geneesmiddel
Stabiliteit in oplossing Stabiliteit in mengsels Factoren die de stabiliteit beïnvloeden Verenigbaarheden Toedieningswijze Literatuur pdf
   Molecuulstructuur  

Merknamen in verschillende landen   Merknamen in verschillende landen     

Handelsnamen zijn slechts een indicatie; de samenstelling van hulpstoffen kan per land variëren afhankelijk van de fabrikant

Bensitrak Mexico
Besilato de cisatracurio
Cicuryl Mexico
Cirium Colombia
Cis Atracure
Cisatracurio Brazilië, Chili, Colombia, Ecuador, Italië, Peru, Spanje
Cisatracurium België, Canada, Duitsland, Finland, Frankrijk, Groot Britannië, Hongarije, Ierland, Tunisie
Nimbex België, Canada, Chili, Denemarken, Duitsland, Ecuador, Egypte, Finland, Frankrijk, Griekenland, Groot Britannië, Hongarije, Ierland, Iran, Italië, Luxemburg, Maleisië, Mexico, Nederland, Noorwegen, Oostenrijk, Peru, Polen, Portugal, Saudi-Arabië, Slovenië, Spanje, Tunisie, Turkije, USA, Venezuela, Verenigde Arabische Emiraten, Zweden
Nimbium Brazilië, Colombia
Stabiliteit in mengsels   injecteerbaar geneesmiddel   Stabiliteit in mengsels : Cisatracurium besylate     
Verpakking Oplosmiddel Concentratie Stof Temperatuur Bewaring Duur van de stabiliteit Literatuur
Glas Glucose 5% 0.26 mg/ml
injecteerbaar geneesmiddel   Cisatracurium besylate   
injecteerbaar geneesmiddel   Palonosetron hydrochloride 25.4 µg/ml
25°C
4 Uur
Niet gespecificeerd 2227
Bewijsniveau A+

  Mentions Légales