Τελευταία ενημέρωση :
27/01/2026
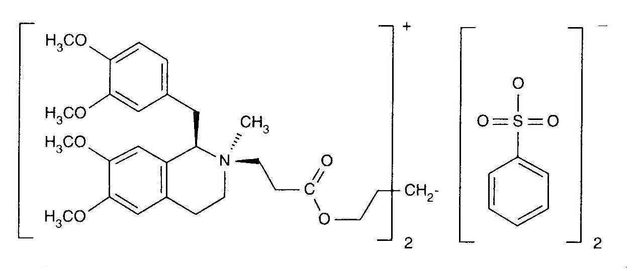
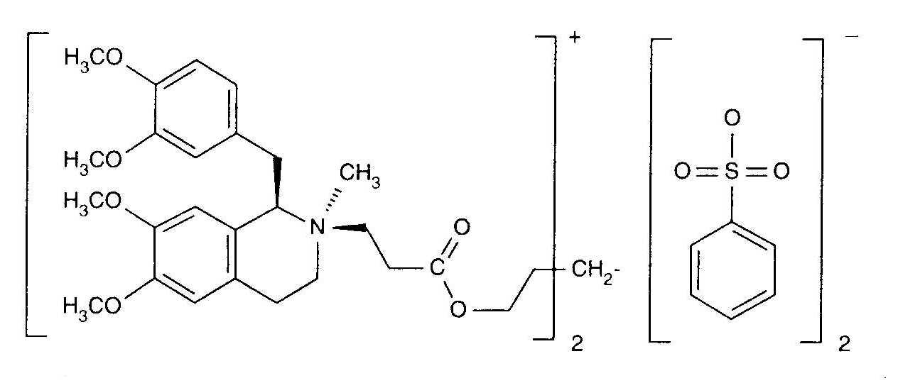
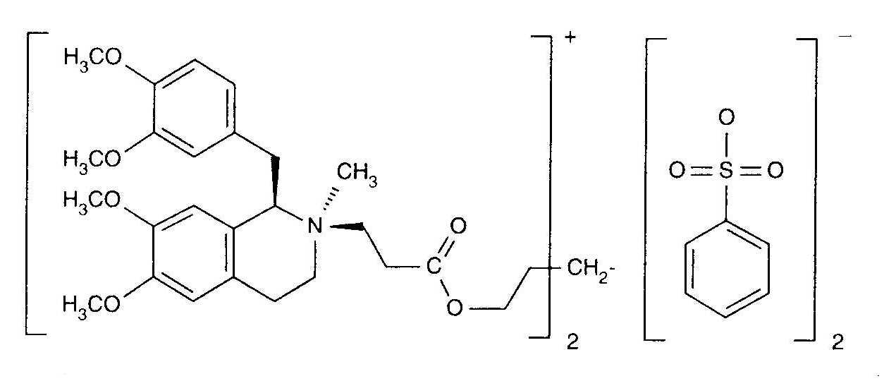
Κουραριομιμητικό   Cisatracurium besylate  
Ενέσιμο
Σταθερότητα διαλυμάτων Σταθερότητα σε μίγματα Παράγοντας που επηρεάζει τη σταθερότητα Συμβατότητες Τρόπος χορήγησης Βιβλιογραφία pdf
   χημική δομή  

Εμπορική ονομασία   Εμπορική ονομασία     

Οι εμπορικές ονομασίες είναι ενδεικτικές και η σύνθεση των εκδόχων μπορεί να διαφέρει ανάλογα με τη χώρα και τα εργαστήρια

Bensitrak Μεξικό
Besilato de cisatracurio
Cicuryl Μεξικό
Cirium Κολομβία
Cis Atracure
Cisatracurio Βραζιλία, Εκουαδόρ, Ισπανία, Ιταλία, Κολομβία, Περού, Χιλή
Cisatracurium Βέλγιο, Γαλλία, Γερμανία, Ιρλανδία, Καναδάς, Μεγάλη Βρετανία, Ουγγαρία, Τυνησία, Φινλανδία
Nimbex Yhdistyneet arabiemiirikunnat, Αίγυπτος, Αυστρία, Βέλγιο, Βενεζουέλα, Γαλλία, Γερμανία, Δανία, Εκουαδόρ, Ελλάδα, Η.Π.Α., Ιράν, Ιρλανδία, Ισπανία, Ιταλία, Καναδάς, Λουξεμβούργο, Μαλαισία, Μεγάλη Βρετανία, Μεξικό, Νορβηγία, Ολλανδία, Ουγγαρία, Περού, Πολωνία, Πορτογαλία, Σαουδική Αραβία, Σλοβενία, Σουηδία, Τουρκία, Τυνησία, Φινλανδία, Χιλή
Nimbium Βραζιλία, Κολομβία
Σταθερότητα σε μίγματα   Ενέσιμο   Σταθερότητα σε μίγματα : Cisatracurium besylate     
Υποδοχέας Διαλυτικό Συγκέντρωση Συστατικό Θερμοκρασία Αποθήκευση Διάρκεια σταθερότητας Βιβλιογραφία
Ύαλος Γλυκόζη 5% 0.26 mg/ml
Ενέσιμο   Cisatracurium besylate   
Ενέσιμο   Palonosetron hydrochloride 25.4 µg/ml
25°C
4 Ώρα
Απροσδιόριστο 2227
Επίπεδο των αποδεικτικών στοιχείων A+

  Mentions Légales