Ultimo aggiornamento :
27/01/2026
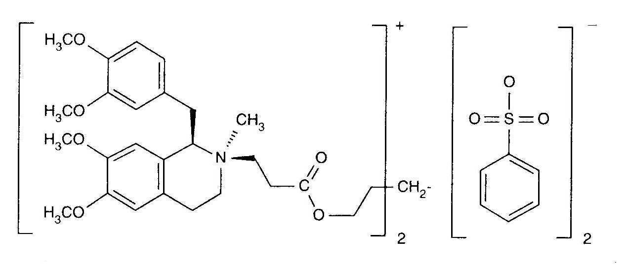
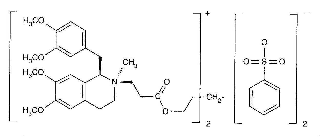
Curarizzante   Cisatracurium besylate  
Iniezione
Stabilità in soluzione Stabilità in miscela Fattori che influenzano la stabilità Compatibilità metodo di iniezione Bibliografia pdf
   Struttura chimica  

Nome commerciale   Nome commerciale     

Trade names are indicative and excipients composition can be different depending on the country and manufacturers

Bensitrak Messico
Besilato de cisatracurio
Cicuryl Messico
Cirium Colombia
Cis Atracure
Cisatracurio Brasile, Chile, Colombia, Ecuador, Italia, Perù, Spagna
Cisatracurium Belgio, Canada, Finlandia, Francia, Germania, Gran Bretagna, Irlanda, Tunisia, Ungheria
Nimbex Arabia Saudita, Austria, Belgio, Canada, Chile, Danimarca, Ecuador, Egitto, Emirati Arabi Uniti, Finlandia, Francia, Germania, Gran Bretagna, Grecia, Iran, Irlanda, Italia, Lussemburgo, Malaysia, Messico, Norvegia, Paesi Bassi, Perù, Polonia, Portogallo, Slovenia, Spagna, Stati Uniti d’America, Svezia, Tunisia, Turchia, Ungheria, Venezuela
Nimbium Brasile, Colombia
Stabilità in miscela   Iniezione   Stabilità in miscela : Cisatracurium besylate     
contenitore Solvente Concentrazione Molecola Temperatura Conservazione Durata della stabilità Bibliografia
Vetro Glucosio 5% 0.26 mg/ml
Iniezione   Cisatracurium besylate   
Iniezione   Palonosetron hydrochloride 25.4 µg/ml
25°C
4 Ora
Non precisata 2227
Livello di evidenza A+

  Mentions Légales