Pēdējā atjaunošana :
27/01/2026
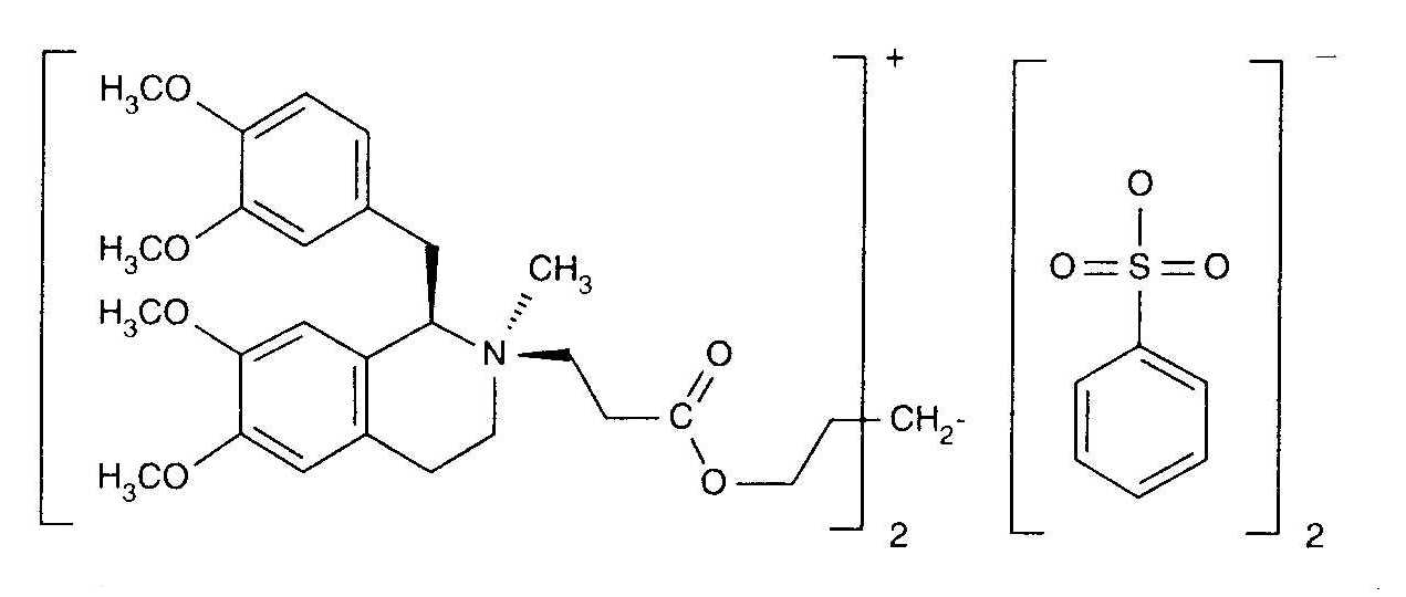
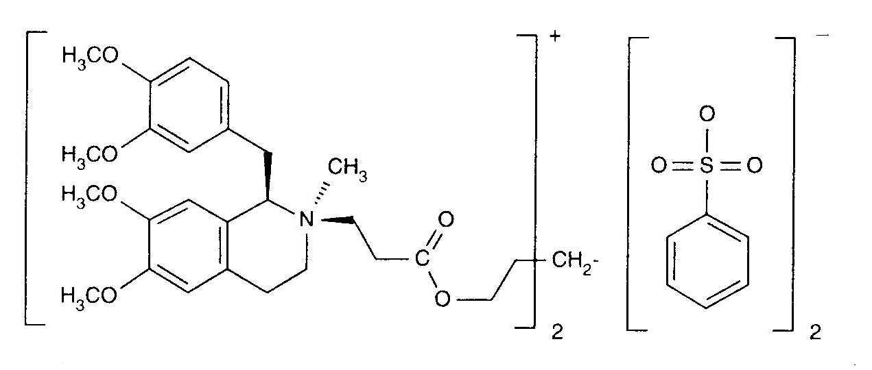
Kurarīnmimētiķis   Cisatracurium besylate  
Injekcija
Šķīduma stabilitāte Maisījuma stabilitāte Stabilitāti ietekmējoši faktori Saderība Levadīšanas veids Literatūras saraksts pdf
   Ķīmiskā uzbūve   

Oriģinālais nosaukums   Oriģinālais nosaukums     

Tirdzniecības nosaukumi ir apzīmējoši un palīgvielas var atšķirties dažādām valstīm un laboratorijām

Bensitrak Meksika
Besilato de cisatracurio
Cicuryl Meksika
Cirium Kolumbija
Cis Atracure
Cisatracurio Brazīlija, Čīle, Ekvadora, Itālija, Kolumbija, Peru, Spānija
Cisatracurium Beļģija, Francija, Īrija, Kanāda, Lielbritānija, Somija, Tunisija, Ungārija, Vācija
Nimbex Amerikas Savienotās Valstis, Apvienotie Arābu Emirāti, Austrija, Beļģija, Čīle, Dānija, Ēģipte, Ekvadora, Francija, Grieķija, Holande, Irāna, Īrija, Itālija, Kanāda, Lielbritānija, Luksemburga, Malaizija, Meksika, Norvēģija, Peru, Polija, Portugāle, Saūda Arābija, Slovēnija, Somija, Spānija, Tunisija, Turcija, Ungārija, Vācija, Venecuēla, Zviedrija
Nimbium Brazīlija, Kolumbija
Maisījuma stabilitāte   Injekcija   Maisījuma stabilitāte : Cisatracurium besylate     
Iepakojums Šķīdinātājs Koncentrācija Savienojums Temperatūra Glabāšana Stabilitātes ilgums Literatūras saraksts
Stikls 5% glikoze 0.26 mg/ml
Injekcija   Cisatracurium besylate   
Injekcija   Palonosetron hydrochloride 25.4 µg/ml
25°C
4 Stunda
Nav specifisks 2227
Pierādījumu līmenis A+

  Mentions Légales