Останнє оновлення :
27/04/2026
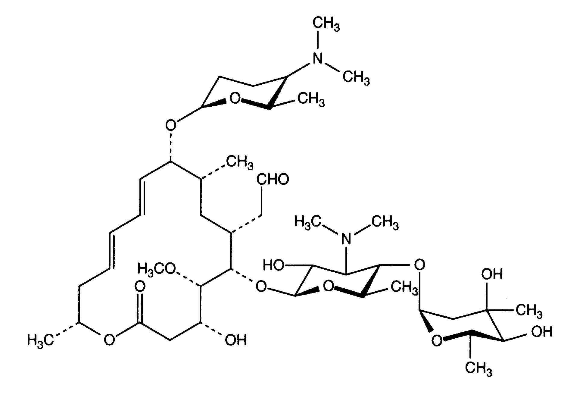
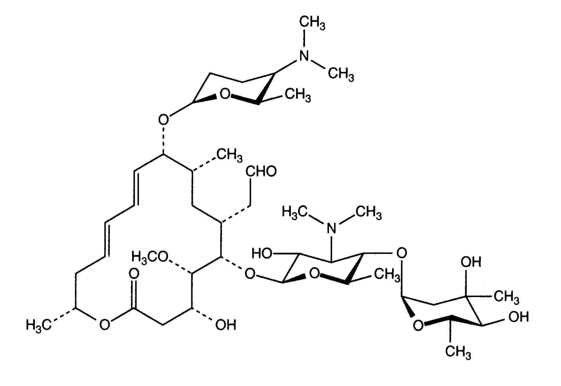
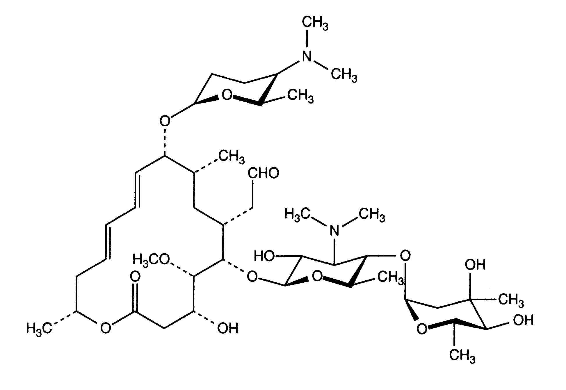
Антибіотик   Spiramycine adipate  
ін'єкція
Стійкість в розчинах Стійкість сумішей Фактори, що впливають на стабільність Сумісність Шлях введення Список літератури pdf
   Хімічна структура  

Торгова назва   Торгова назва     

Торгові назви є орієнтовними, а склад допоміжних речовин може бути різним залежно від країни та виробника

Rovamycine Польща, Франція
Стійкість в розчинах   ін'єкція   Стійкість в розчинах : Spiramycine adipate     
Контейнер Розчинник Концентрація температура Зберігання Тривалість стабільності Список літератури
скло Вода для ін'єкцій 0.375 MUI/ml ? Не визначено
12 годину
3563
Дані виробника про стабільність


  Mentions Légales