Poslední aktualizace :
27/04/2026
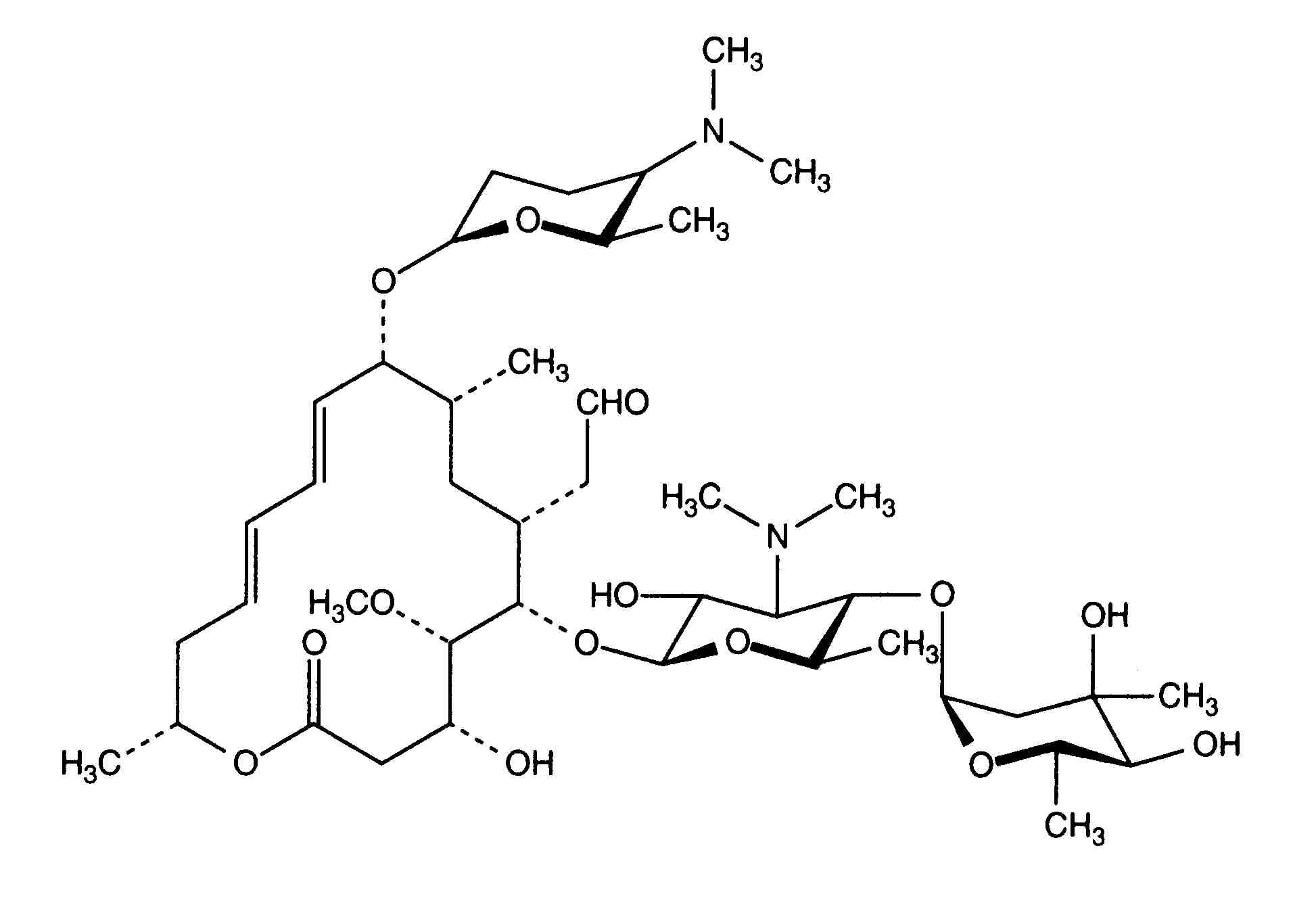
Antibiotikum   Spiramycine adipate  
injekce
Stabilita roztoků Stabilita směsí Faktory ovlivňující stabilitu Kompatibilita Způsoby aplikace Odkazy pdf
   Chemický vzorec  

Obchodní název   Obchodní název     

Trade names are indicative and excipients composition can be different depending on the country and manufacturers

Rovamycine Francie, Polsko
Stabilita roztoků   injekce   Stabilita roztoků : Spiramycine adipate     
Obal RozpouötÏdlo Koncentrace Teplota Uchovávání Trvání stability Odkazy
Sklo Voda pro injekci 0.375 MUI/ml ? Nespecifikováno
12 Hodina
3563
Údaje o stabilitě od výrobce


  Mentions Légales