Ostatnia aktualizacja :
27/01/2026
Antybiotyk   Spiramycine adipate  
Injekcje
Trwałość roztworów Trwałość w mieszaninie Czynnik wpływający na trwałość Zgodność Sposób podania Bibliografia pdf
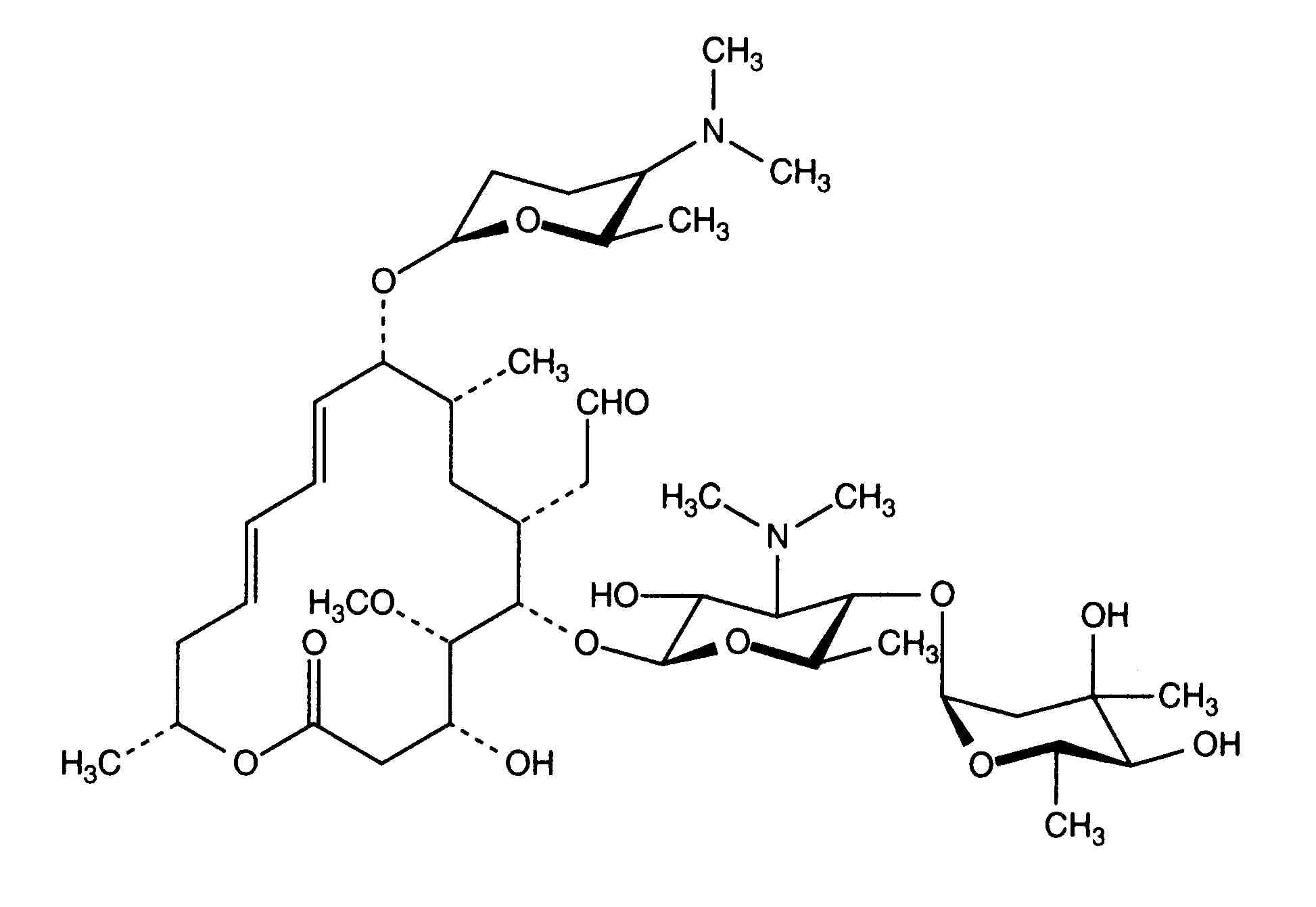
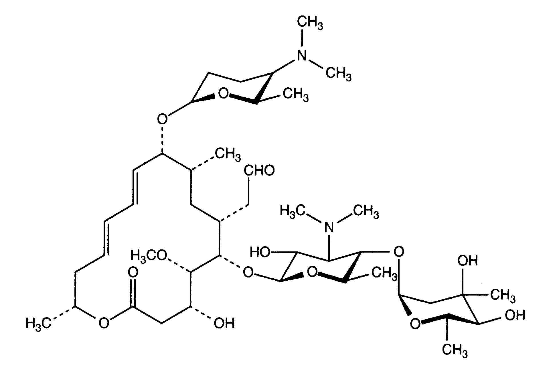
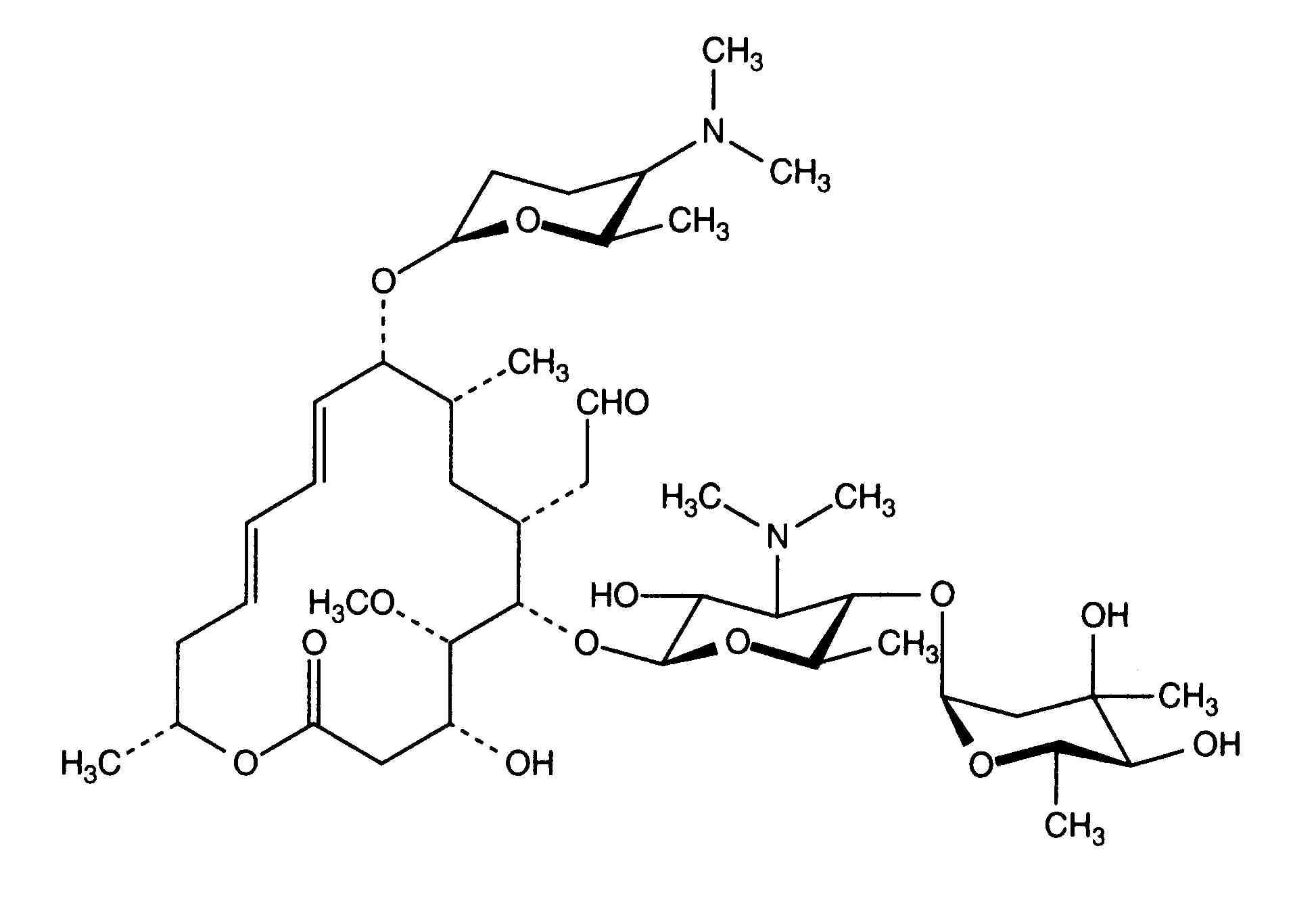
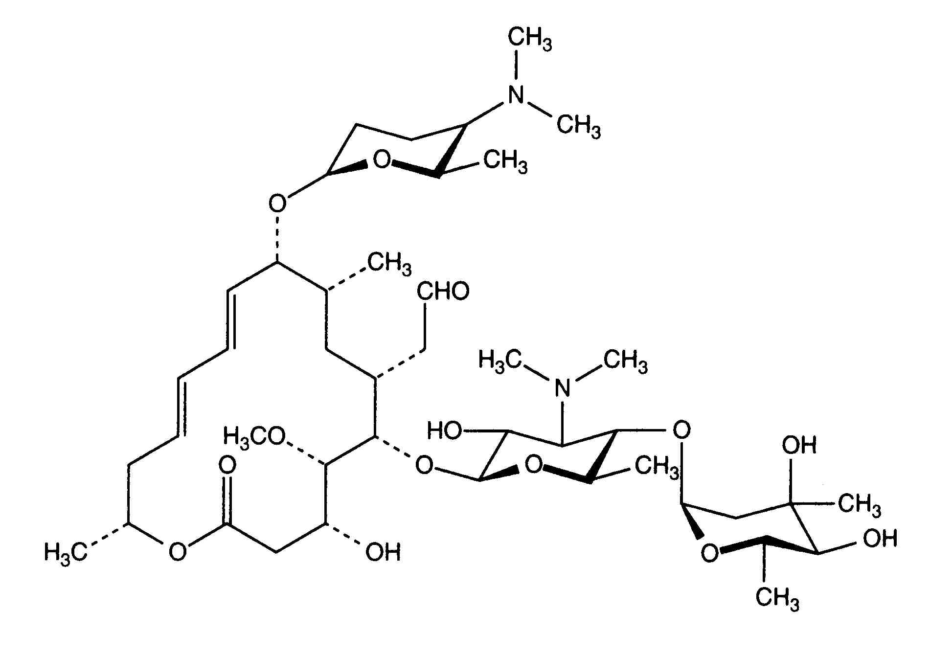
   Struktura chemiczna  

Nazwa handlowa   Nazwa handlowa     

Trade names are indicative and excipients composition can be different depending on the country and manufacturers

Rovamycine Francja , Polska
Trwałość roztworów   Injekcje   Trwałość roztworów : Spiramycine adipate     
Pojemnik Rozpuszczalnik Stężenie Temperatura Przechowywanie Czas trwania stabilności Bibliografia
Szkło Woda do wstrzyknięć 0.375 MUI/ml ? Nie wyszczególniony
12 Godzina
3563
Dane stabilności producenta


  Mentions Légales