Última actualização :
27/01/2026
antibiótico   Spiramycine adipate  
injetável
Estabilidade em soluções simples Estabilidade em misturas Factores que afectam a sua estabilidade Compatibilidade Método de administração Bibliografía pdf
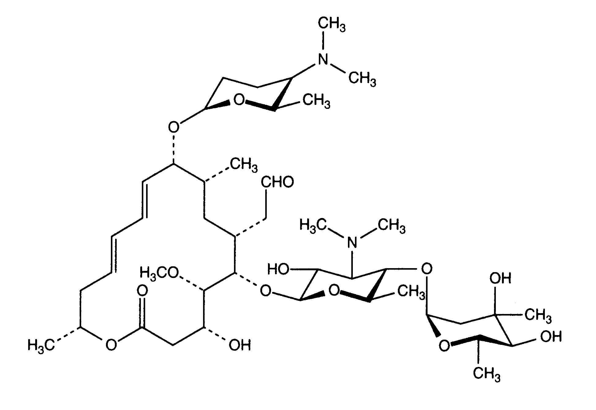
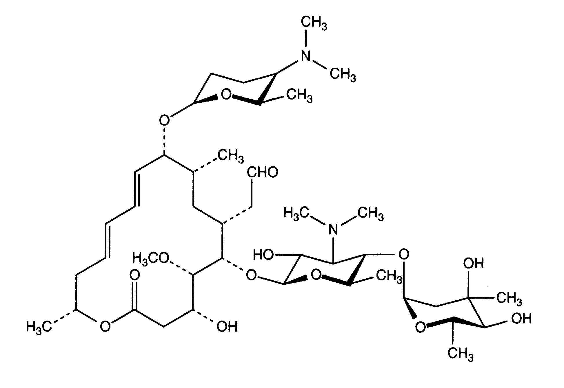
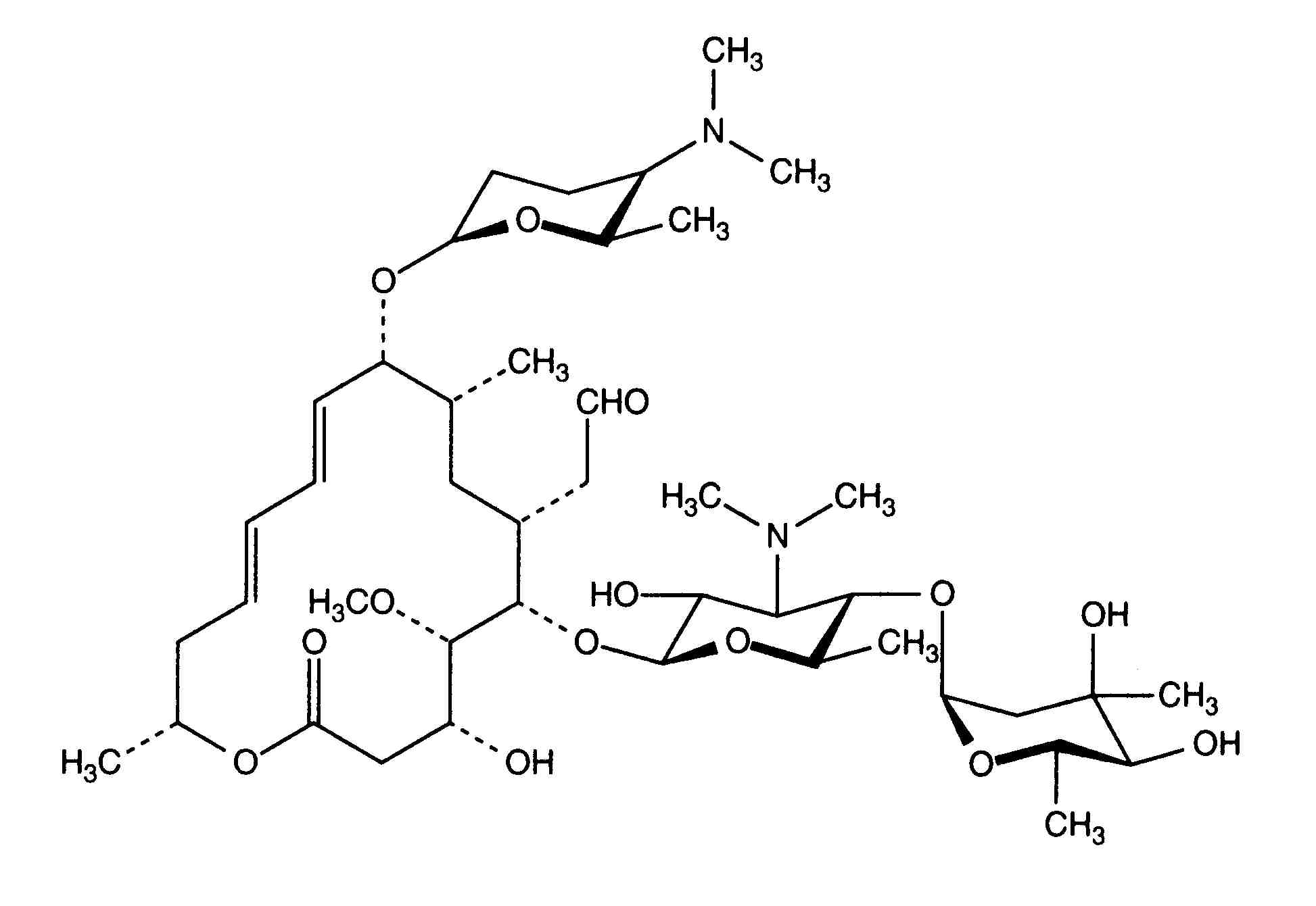
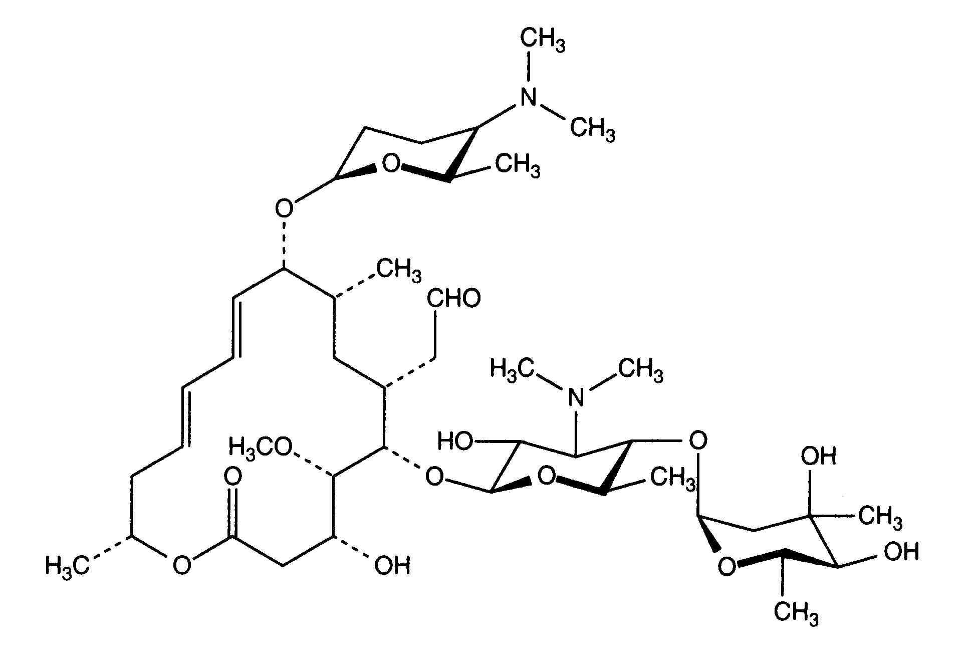
   estrutura química  

Nomes comerciais nos diversos países   Nomes comerciais nos diversos países     

OS NOMES COMERCIAIS SÃO INDICATIVOS E OS EXCIPIENTES DA FORMULAÇÃO PODEM SER DIFERENTES CONFORME O PAÍS E FABRICANTE.

Rovamycine França, Polonia
Estabilidade em soluções simples   injetável   Estabilidade em soluções simples : Spiramycine adipate     
Embalagem Solvente concentração temperatura conservação Duração da estabilidade Bibliografia
vidro Agua para injectaveis 0.375 MUI/ml ? no especificado
12 hora
3563
Dados estabilidade do fabricante


  Mentions Légales