Zadnji put ažurirano :
27/04/2026
antibiotik   Spiramycine adipate  
injekcija
Stabilizacija rješenja Stabilnost mješavine Stabilizacijski faktor Kompatibilnosti način davanja lijeka Bibliografija pdf
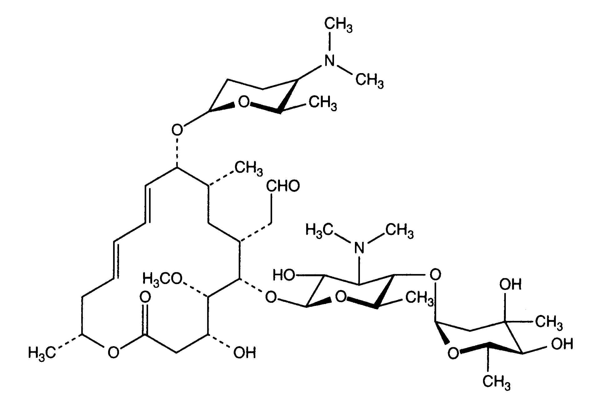
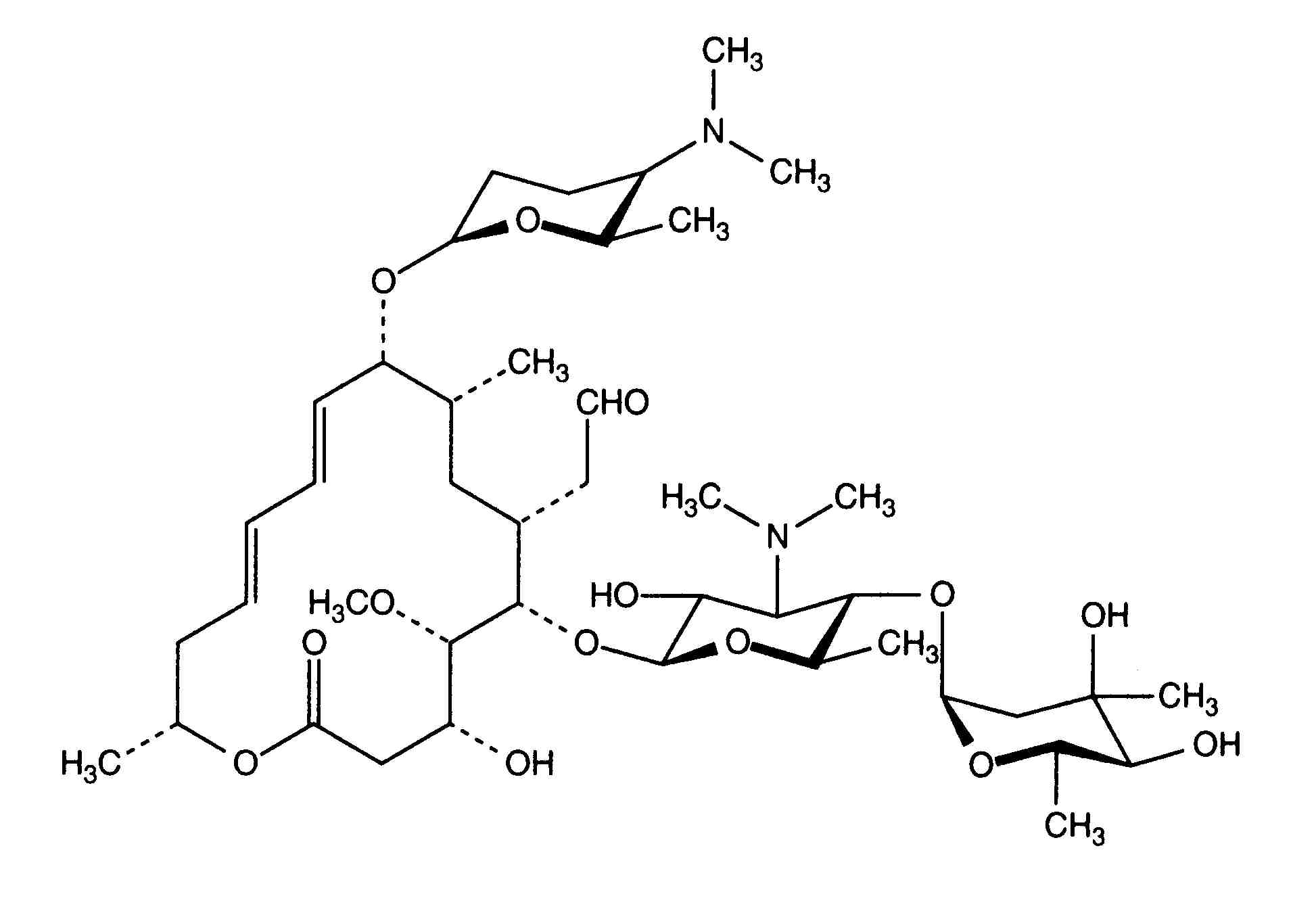
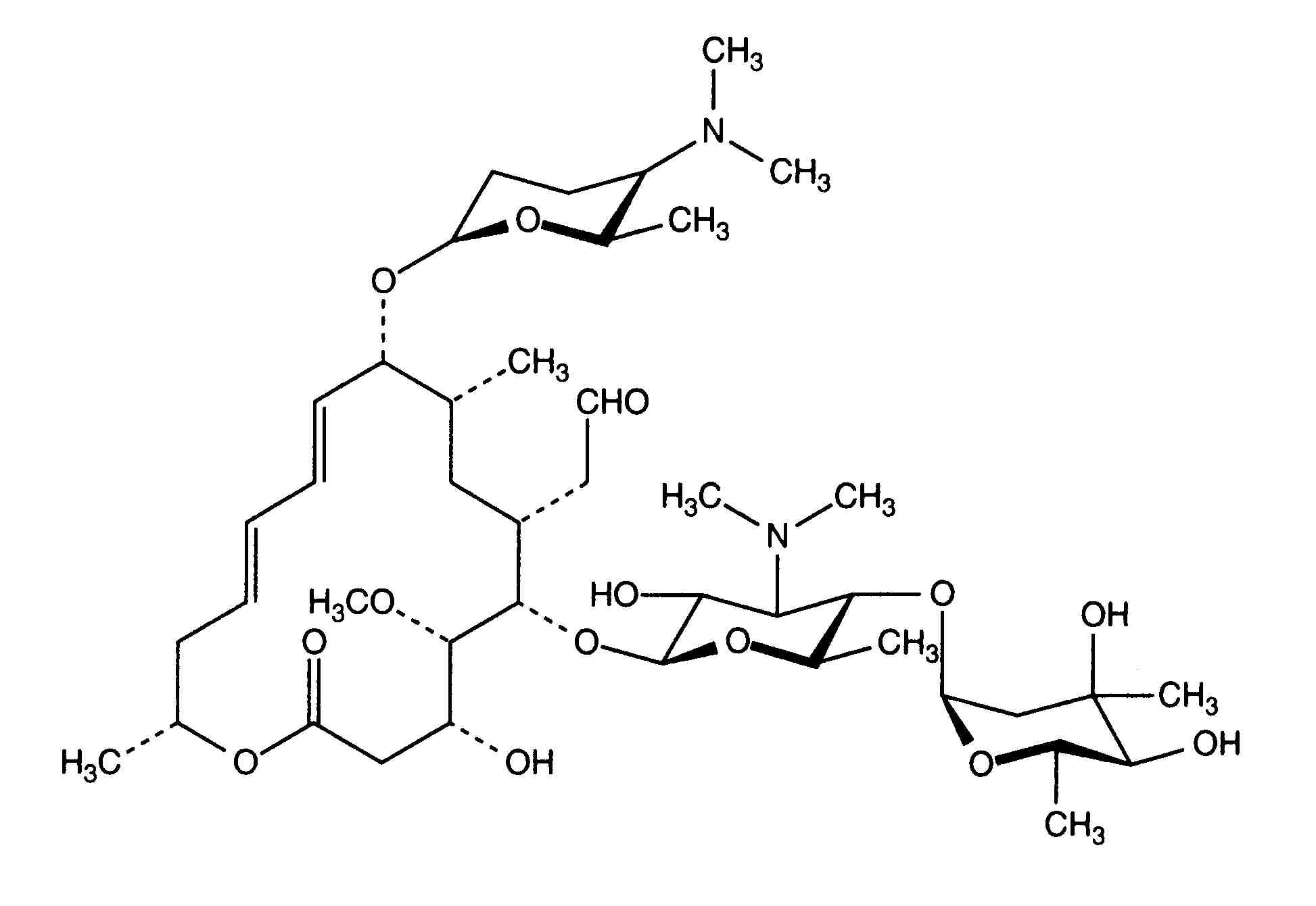
   Kemijska struktura  

Nekomercijalni   Nekomercijalni     

Zaštićeni nazivi su indikativni i sastav ekscipijensa može biti različit ovisno o državi i laboratorijima

Rovamycine Francuska, Poljska
Stabilizacija rješenja   injekcija   Stabilizacija rješenja : Spiramycine adipate     
Kontejner sredstvo za rastapanje koncentracija temperatura Konzerviranje Trajanje stabilnosti Bibliografija
čaša čista voda za injektiranje 0.375 MUI/ml ? nespecifičan
12 sat
3563
Podaci proizvođača o stabilnosti


  Mentions Légales