最新更新 :
18/03/2026
抗菌薬   Spiramycine adipate  
注射薬
溶媒内の安定性 混合時の安定性 安定性に影響する因子 互換性 投与経路 引用文献 PDF
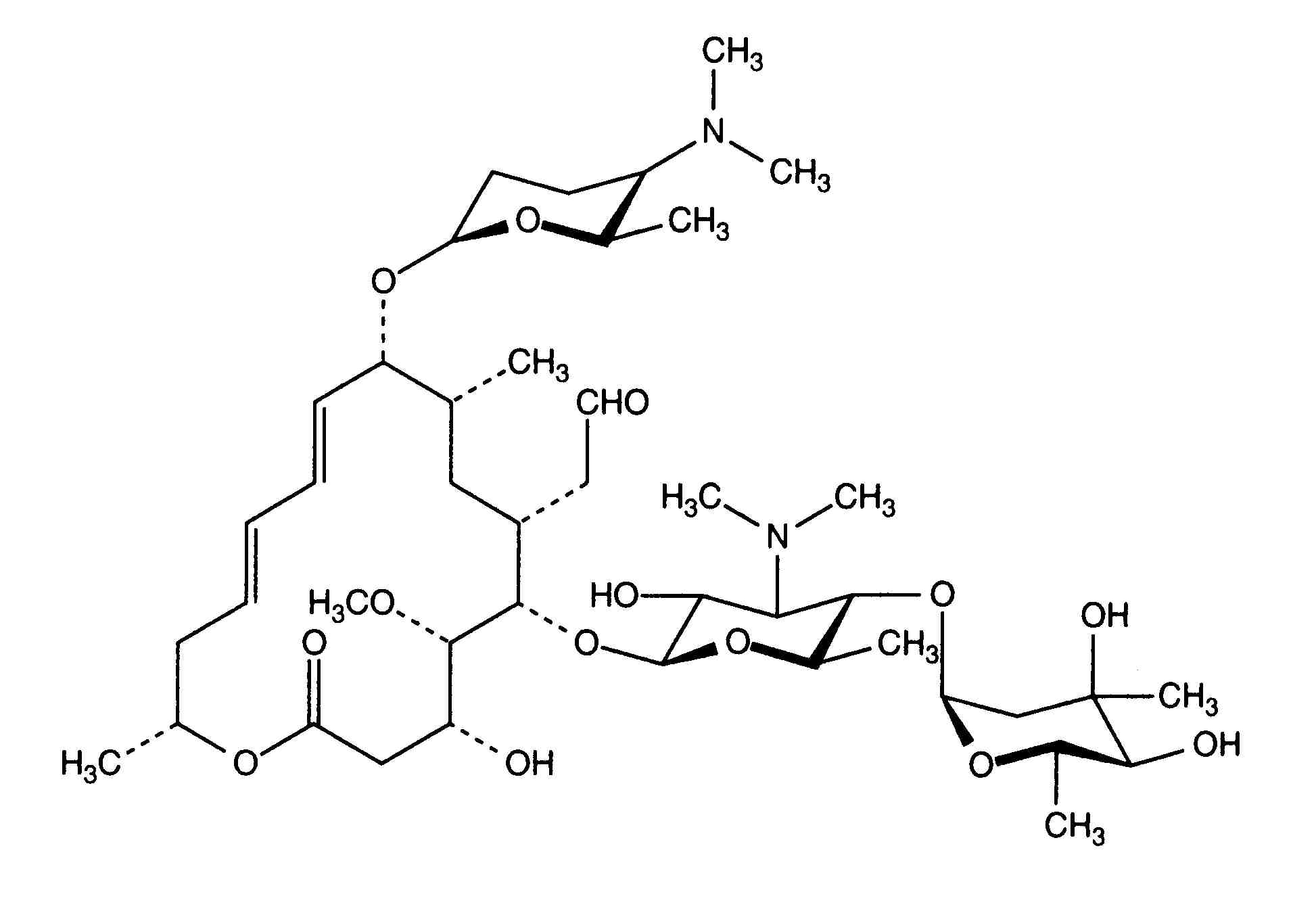
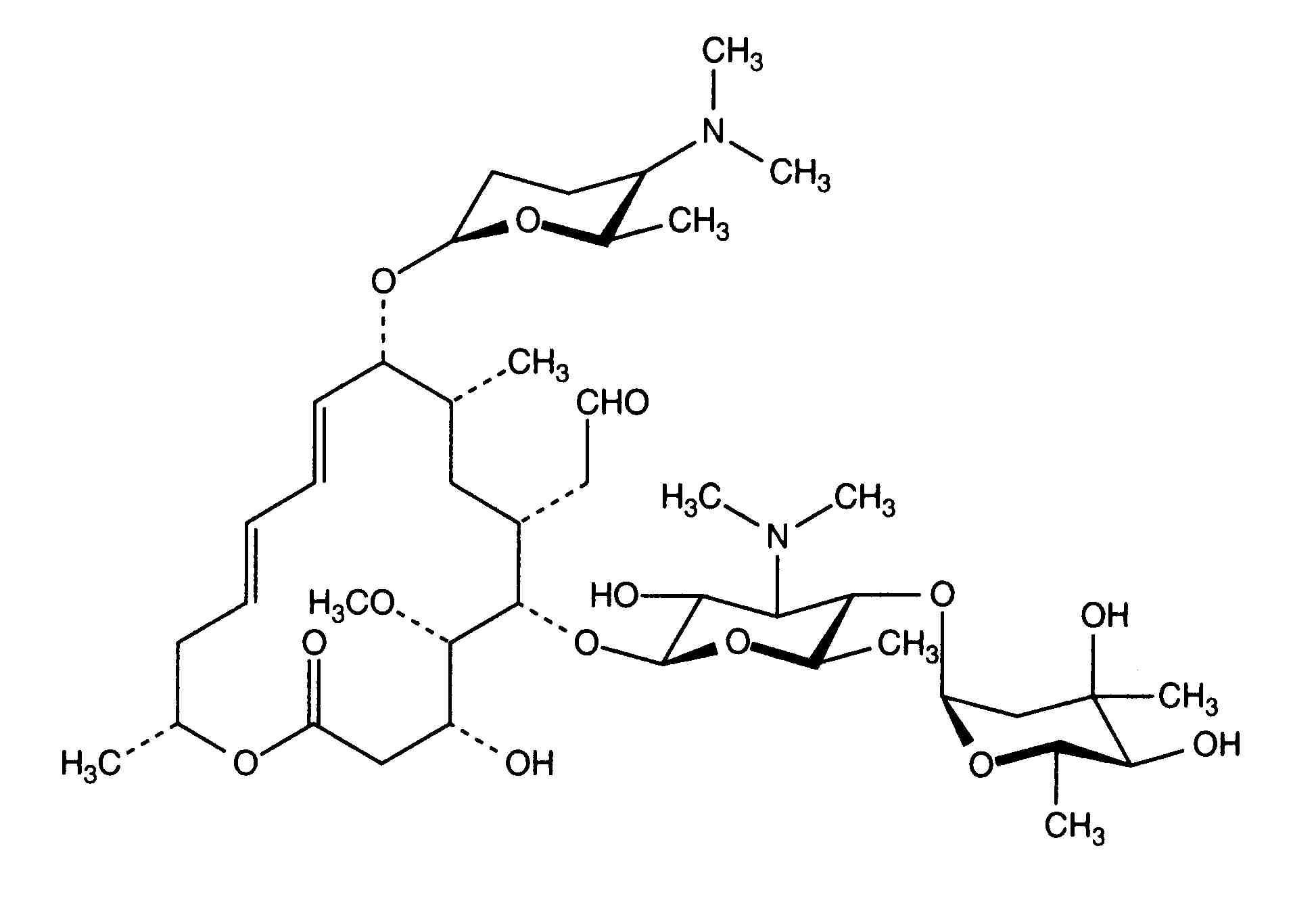
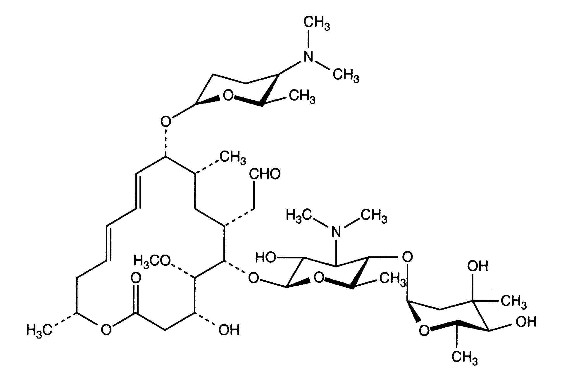
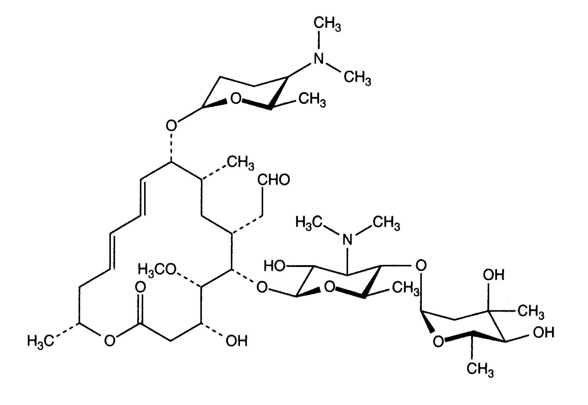
   化学構造  

商品名   商品名     

商品名、賦形剤は国、製薬会社ごとに異なることがあります

Rovamycine フランス, ポーランド
溶媒内の安定性   注射薬   溶媒内の安定性 : Spiramycine adipate     
容器 溶媒 濃度 温度 保管 安定期間 引用文献
ガラス 注射用水 0.375 MUI/ml ? 特記なし
12 時間
3563
製薬会社の安定性データ


  Mentions Légales