Cập nhật lần cuối :
27/01/2026
thuốc trị ung thư   Etoposide phosphate  
Dạng tiêm
Tính ổn định của các dung dịch Độ ổn định khi trộn lẫn Những yếu tố ảnh hưởng đến độ ổn định Khả năng tương thích Đường dùng Tài liệu tham khảo Pdf
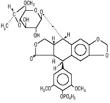
   Cấu trúc hóa học  

Tên thương mại   Tên thương mại     

Các tên thương mại được cung cấp và thành phần tá dược có thể khác nhau giữa các quốc gia và các hãng dược

Etopofos Áo, Hy Lạp, Thụy Điển
Etopophos Anh, Ba Lan, Bỉ, Bulgaria, Hà Lan, Hoa Kỳ, Israel, Luxembourg, new zealand, Pháp, Thụy Sỹ, Đức
Tính ổn định của các dung dịch   Dạng tiêm   Tính ổn định của các dung dịch : Etoposide phosphate     
Bao bì Dung môi Nồng độ Nhiệt độ Bảo quản Thời gian ổn định Mục lục
Thủy tinh Nước cất pha tiêm 10 & 20 mg/ml 2-8°C Tránh ánh sáng
7 Ngày
3655
Các dữ liệu về độ ổn định của nhà sản xuất

Thủy tinh Nước cất pha tiêm 10 & 20 mg/ml 25°C Ánh sáng
96 Giờ
3655
Các dữ liệu về độ ổn định của nhà sản xuất

Thủy tinh Nước cất pha tiêm 10 & 20 mg/ml 37°C Ánh sáng
48 Giờ
3655
Các dữ liệu về độ ổn định của nhà sản xuất

Thủy tinh NaCl 0,9% > 0,1 mg/ml 2-8°C Tránh ánh sáng
7 Ngày
3655
Các dữ liệu về độ ổn định của nhà sản xuất

Thủy tinh NaCl 0,9% > 0,1 mg/ml 25°C Ánh sáng
96 Giờ
3655
Các dữ liệu về độ ổn định của nhà sản xuất

Thủy tinh NaCl 0,9% > 0,1 mg/ml 37°C Ánh sáng
48 Giờ
3655
Các dữ liệu về độ ổn định của nhà sản xuất

Thủy tinh NaCl 0,9% 10 & 20 mg/ml 2-8°C Tránh ánh sáng
7 Ngày
3655
Các dữ liệu về độ ổn định của nhà sản xuất

Thủy tinh NaCl 0,9% 10 & 20 mg/ml 25°C Ánh sáng
96 Giờ
3655
Các dữ liệu về độ ổn định của nhà sản xuất

Thủy tinh NaCl 0,9% 10 & 20 mg/ml 37°C Ánh sáng
48 Giờ
3655
Các dữ liệu về độ ổn định của nhà sản xuất

Thủy tinh Glucose 5% > 0,1 mg/ml 2-8°C Tránh ánh sáng
7 Ngày
3655
Các dữ liệu về độ ổn định của nhà sản xuất

Thủy tinh Glucose 5% > 0,1 mg/ml 25°C Ánh sáng
96 Giờ
3655
Các dữ liệu về độ ổn định của nhà sản xuất

Thủy tinh Glucose 5% > 0,1 mg/ml 37°C Ánh sáng
48 Giờ
3655
Các dữ liệu về độ ổn định của nhà sản xuất

Thủy tinh Glucose 5% 10 & 20 mg/ml 2-8°C Tránh ánh sáng
7 Ngày
3655
Các dữ liệu về độ ổn định của nhà sản xuất

Thủy tinh Glucose 5% 10 & 20 mg/ml 25°C Ánh sáng
96 Giờ
3655
Các dữ liệu về độ ổn định của nhà sản xuất

Thủy tinh Glucose 5% 10 & 20 mg/ml 37°C Ánh sáng
48 Giờ
3655
Các dữ liệu về độ ổn định của nhà sản xuất

Nhựa polyvinyl chloride NaCl 0,9% > 0,1 mg/ml 2-8°C Tránh ánh sáng
7 Ngày
3655
Các dữ liệu về độ ổn định của nhà sản xuất

Nhựa polyvinyl chloride NaCl 0,9% > 0,1 mg/ml 25°C Ánh sáng
96 Giờ
3655
Các dữ liệu về độ ổn định của nhà sản xuất

Nhựa polyvinyl chloride NaCl 0,9% > 0,1 mg/ml 37°C Ánh sáng
48 Giờ
3655
Các dữ liệu về độ ổn định của nhà sản xuất

Nhựa polyvinyl chloride NaCl 0,9% 0,1 & 10 mg/ml 23°C Không rõ
31 Ngày
1411
Cấp độ bằng chứng B+

Nhựa polyvinyl chloride NaCl 0,9% 0,1 & 10 mg/ml 32°C Không rõ
7 Ngày
1411
Cấp độ bằng chứng B+

Nhựa polyvinyl chloride NaCl 0,9% 0,1 & 10 mg/ml 4°C Tránh ánh sáng
31 Ngày
1411
Cấp độ bằng chứng B+

Nhựa polyvinyl chloride Glucose 5% > 0,1 mg/ml 2-8°C Tránh ánh sáng
7 Ngày
3655
Các dữ liệu về độ ổn định của nhà sản xuất

Nhựa polyvinyl chloride Glucose 5% > 0,1 mg/ml 25°C Ánh sáng
96 Giờ
3655
Các dữ liệu về độ ổn định của nhà sản xuất

Nhựa polyvinyl chloride Glucose 5% > 0,1 mg/ml 37°C Ánh sáng
48 Giờ
3655
Các dữ liệu về độ ổn định của nhà sản xuất

Nhựa polyvinyl chloride Glucose 5% 0,1 & 10 mg/ml 23°C Không rõ
31 Ngày
1411
Cấp độ bằng chứng B+

Nhựa polyvinyl chloride Glucose 5% 0,1 & 10 mg/ml 32°C Không rõ
7 Ngày
1411
Cấp độ bằng chứng B+

Nhựa polyvinyl chloride Glucose 5% 0,1 & 10 mg/ml 4°C Tránh ánh sáng
31 Ngày
1411
Cấp độ bằng chứng B+

Nhựa polyolefin NaCl 0,9% > 0,1 mg/ml 2-8°C Tránh ánh sáng
7 Ngày
3655
Các dữ liệu về độ ổn định của nhà sản xuất

Nhựa polyolefin NaCl 0,9% > 0,1 mg/ml 25°C Ánh sáng
96 Giờ
3655
Các dữ liệu về độ ổn định của nhà sản xuất

Nhựa polyolefin NaCl 0,9% > 0,1 mg/ml 37°C Ánh sáng
48 Giờ
3655
Các dữ liệu về độ ổn định của nhà sản xuất

Nhựa polyolefin Glucose 5% > 0,1 mg/ml 2-8°C Tránh ánh sáng
7 Ngày
3655
Các dữ liệu về độ ổn định của nhà sản xuất

Nhựa polyolefin Glucose 5% > 0,1 mg/ml 25°C Ánh sáng
96 Giờ
3655
Các dữ liệu về độ ổn định của nhà sản xuất

Nhựa polyolefin Glucose 5% > 0,1 mg/ml 37°C Ánh sáng
48 Giờ
3655
Các dữ liệu về độ ổn định của nhà sản xuất

ống tiêm polypropylene Nước cất pha tiêm + chất kháng khuẩn 10 & 20 mg/ml 23°C Không rõ
31 Ngày
1411
Cấp độ bằng chứng B+

ống tiêm polypropylene Nước cất pha tiêm + chất kháng khuẩn 10 & 20 mg/ml 32°C Không rõ
7 Ngày
1411
Cấp độ bằng chứng B+

ống tiêm polypropylene Nước cất pha tiêm + chất kháng khuẩn 10 & 20 mg/ml 4°C Tránh ánh sáng
31 Ngày
1411
Cấp độ bằng chứng B+


  Mentions Légales