zadnja posodobitev :
27/01/2026
rak drog   Etoposide phosphate  
Brizgalka
Stabilnost raztopine Stabilnost mešanice Faktorji, ki vplivajo na stabilnost Kompatibilnost način aplikacije Viri pdf
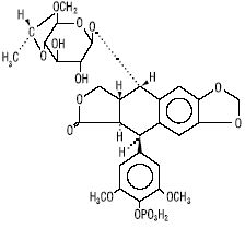
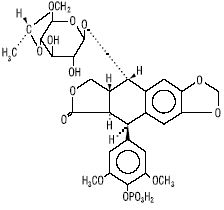
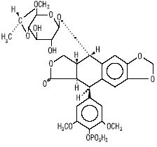
   Kemična formula  

Lastniško ime   Lastniško ime     

Sestava pomožnih snovi je med paralelami lahko različna

Etopofos Avstrija, Grčija, Švedska
Etopophos Belgija, Bolgarija, Francija, Izrael, Luksemburg, Nemčija, Nizozemska, nova Zelandija, Poljska, Švica, Velika Britanija, Združene države Amerike
Stabilnost raztopine   Brizgalka   Stabilnost raztopine : Etoposide phosphate     
Vsebnik Topilo Koncentracija Temperatura Shranjevanje Trajanje stabilnosti Viri
Steklo Voda za injekcije 10 & 20 mg/ml 2-8°C Zaščiteno pred svetlobo
7 Dan
3655
Podatki stabilnosti proizvajalca

Steklo Voda za injekcije 10 & 20 mg/ml 25°C Svetloba
96 čas
3655
Podatki stabilnosti proizvajalca

Steklo Voda za injekcije 10 & 20 mg/ml 37°C Svetloba
48 čas
3655
Podatki stabilnosti proizvajalca

Steklo Natrijev klorid 0,9% > 0,1 mg/ml 2-8°C Zaščiteno pred svetlobo
7 Dan
3655
Podatki stabilnosti proizvajalca

Steklo Natrijev klorid 0,9% > 0,1 mg/ml 25°C Svetloba
96 čas
3655
Podatki stabilnosti proizvajalca

Steklo Natrijev klorid 0,9% > 0,1 mg/ml 37°C Svetloba
48 čas
3655
Podatki stabilnosti proizvajalca

Steklo Natrijev klorid 0,9% 10 & 20 mg/ml 2-8°C Zaščiteno pred svetlobo
7 Dan
3655
Podatki stabilnosti proizvajalca

Steklo Natrijev klorid 0,9% 10 & 20 mg/ml 25°C Svetloba
96 čas
3655
Podatki stabilnosti proizvajalca

Steklo Natrijev klorid 0,9% 10 & 20 mg/ml 37°C Svetloba
48 čas
3655
Podatki stabilnosti proizvajalca

Steklo Glukoza 5% > 0,1 mg/ml 2-8°C Zaščiteno pred svetlobo
7 Dan
3655
Podatki stabilnosti proizvajalca

Steklo Glukoza 5% > 0,1 mg/ml 25°C Svetloba
96 čas
3655
Podatki stabilnosti proizvajalca

Steklo Glukoza 5% > 0,1 mg/ml 37°C Svetloba
48 čas
3655
Podatki stabilnosti proizvajalca

Steklo Glukoza 5% 10 & 20 mg/ml 2-8°C Zaščiteno pred svetlobo
7 Dan
3655
Podatki stabilnosti proizvajalca

Steklo Glukoza 5% 10 & 20 mg/ml 25°C Svetloba
96 čas
3655
Podatki stabilnosti proizvajalca

Steklo Glukoza 5% 10 & 20 mg/ml 37°C Svetloba
48 čas
3655
Podatki stabilnosti proizvajalca

Polivinil klorid Natrijev klorid 0,9% > 0,1 mg/ml 2-8°C Zaščiteno pred svetlobo
7 Dan
3655
Podatki stabilnosti proizvajalca

Polivinil klorid Natrijev klorid 0,9% > 0,1 mg/ml 25°C Svetloba
96 čas
3655
Podatki stabilnosti proizvajalca

Polivinil klorid Natrijev klorid 0,9% > 0,1 mg/ml 37°C Svetloba
48 čas
3655
Podatki stabilnosti proizvajalca

Polivinil klorid Natrijev klorid 0,9% 0,1 & 10 mg/ml 23°C Nedoločeno
31 Dan
1411
 Stopnja dokaza B+

Polivinil klorid Natrijev klorid 0,9% 0,1 & 10 mg/ml 32°C Nedoločeno
7 Dan
1411
 Stopnja dokaza B+

Polivinil klorid Natrijev klorid 0,9% 0,1 & 10 mg/ml 4°C Zaščiteno pred svetlobo
31 Dan
1411
 Stopnja dokaza B+

Polivinil klorid Glukoza 5% > 0,1 mg/ml 2-8°C Zaščiteno pred svetlobo
7 Dan
3655
Podatki stabilnosti proizvajalca

Polivinil klorid Glukoza 5% > 0,1 mg/ml 25°C Svetloba
96 čas
3655
Podatki stabilnosti proizvajalca

Polivinil klorid Glukoza 5% > 0,1 mg/ml 37°C Svetloba
48 čas
3655
Podatki stabilnosti proizvajalca

Polivinil klorid Glukoza 5% 0,1 & 10 mg/ml 23°C Nedoločeno
31 Dan
1411
 Stopnja dokaza B+

Polivinil klorid Glukoza 5% 0,1 & 10 mg/ml 32°C Nedoločeno
7 Dan
1411
 Stopnja dokaza B+

Polivinil klorid Glukoza 5% 0,1 & 10 mg/ml 4°C Zaščiteno pred svetlobo
31 Dan
1411
 Stopnja dokaza B+

Poliolefin Natrijev klorid 0,9% > 0,1 mg/ml 2-8°C Zaščiteno pred svetlobo
7 Dan
3655
Podatki stabilnosti proizvajalca

Poliolefin Natrijev klorid 0,9% > 0,1 mg/ml 25°C Svetloba
96 čas
3655
Podatki stabilnosti proizvajalca

Poliolefin Natrijev klorid 0,9% > 0,1 mg/ml 37°C Svetloba
48 čas
3655
Podatki stabilnosti proizvajalca

Poliolefin Glukoza 5% > 0,1 mg/ml 2-8°C Zaščiteno pred svetlobo
7 Dan
3655
Podatki stabilnosti proizvajalca

Poliolefin Glukoza 5% > 0,1 mg/ml 25°C Svetloba
96 čas
3655
Podatki stabilnosti proizvajalca

Poliolefin Glukoza 5% > 0,1 mg/ml 37°C Svetloba
48 čas
3655
Podatki stabilnosti proizvajalca

Brizgalka polipropilen Voda za injekcije + antibiotik 10 & 20 mg/ml 23°C Nedoločeno
31 Dan
1411
 Stopnja dokaza B+

Brizgalka polipropilen Voda za injekcije + antibiotik 10 & 20 mg/ml 32°C Nedoločeno
7 Dan
1411
 Stopnja dokaza B+

Brizgalka polipropilen Voda za injekcije + antibiotik 10 & 20 mg/ml 4°C Zaščiteno pred svetlobo
31 Dan
1411
 Stopnja dokaza B+


  Mentions Légales