Pēdējā atjaunošana :
27/01/2026
vēzis narkotiku   Etoposide phosphate  
Injekcija
Šķīduma stabilitāte Maisījuma stabilitāte Stabilitāti ietekmējoši faktori Saderība Levadīšanas veids Literatūras saraksts pdf
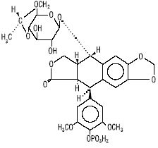
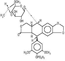
   Ķīmiskā uzbūve   

Oriģinālais nosaukums   Oriģinālais nosaukums     

Tirdzniecības nosaukumi ir apzīmējoši un palīgvielas var atšķirties dažādām valstīm un laboratorijām

Etopofos Austrija, Grieķija, Zviedrija
Etopophos Amerikas Savienotās Valstis, Beļģija, Bulgārija, Francija, Holande, Izraēla, Jaunzēlande, Lielbritānija, Luksemburga, Polija, Šveice, Vācija
Šķīduma stabilitāte   Injekcija   Šķīduma stabilitāte : Etoposide phosphate     
Iepakojums Šķīdinātājs Koncentrācija Temperatūra Glabāšana Stabilitātes ilgums Literatūras saraksts
Stikls Ūdens injekcijām 10 & 20 mg/ml 2-8°C Aizsargāt no gaismas
7 Diena
3655
Ražotāja stabilitātes dati

Stikls Ūdens injekcijām 10 & 20 mg/ml 25°C Gaisma
96 Stunda
3655
Ražotāja stabilitātes dati

Stikls Ūdens injekcijām 10 & 20 mg/ml 37°C Gaisma
48 Stunda
3655
Ražotāja stabilitātes dati

Stikls Nātrija hlorīds 0.9% > 0,1 mg/ml 2-8°C Aizsargāt no gaismas
7 Diena
3655
Ražotāja stabilitātes dati

Stikls Nātrija hlorīds 0.9% > 0,1 mg/ml 25°C Gaisma
96 Stunda
3655
Ražotāja stabilitātes dati

Stikls Nātrija hlorīds 0.9% > 0,1 mg/ml 37°C Gaisma
48 Stunda
3655
Ražotāja stabilitātes dati

Stikls Nātrija hlorīds 0.9% 10 & 20 mg/ml 2-8°C Aizsargāt no gaismas
7 Diena
3655
Ražotāja stabilitātes dati

Stikls Nātrija hlorīds 0.9% 10 & 20 mg/ml 25°C Gaisma
96 Stunda
3655
Ražotāja stabilitātes dati

Stikls Nātrija hlorīds 0.9% 10 & 20 mg/ml 37°C Gaisma
48 Stunda
3655
Ražotāja stabilitātes dati

Stikls 5% glikoze > 0,1 mg/ml 2-8°C Aizsargāt no gaismas
7 Diena
3655
Ražotāja stabilitātes dati

Stikls 5% glikoze > 0,1 mg/ml 25°C Gaisma
96 Stunda
3655
Ražotāja stabilitātes dati

Stikls 5% glikoze > 0,1 mg/ml 37°C Gaisma
48 Stunda
3655
Ražotāja stabilitātes dati

Stikls 5% glikoze 10 & 20 mg/ml 2-8°C Aizsargāt no gaismas
7 Diena
3655
Ražotāja stabilitātes dati

Stikls 5% glikoze 10 & 20 mg/ml 25°C Gaisma
96 Stunda
3655
Ražotāja stabilitātes dati

Stikls 5% glikoze 10 & 20 mg/ml 37°C Gaisma
48 Stunda
3655
Ražotāja stabilitātes dati

Polivinilhlorīds Nātrija hlorīds 0.9% > 0,1 mg/ml 2-8°C Aizsargāt no gaismas
7 Diena
3655
Ražotāja stabilitātes dati

Polivinilhlorīds Nātrija hlorīds 0.9% > 0,1 mg/ml 25°C Gaisma
96 Stunda
3655
Ražotāja stabilitātes dati

Polivinilhlorīds Nātrija hlorīds 0.9% > 0,1 mg/ml 37°C Gaisma
48 Stunda
3655
Ražotāja stabilitātes dati

Polivinilhlorīds Nātrija hlorīds 0.9% 0,1 & 10 mg/ml 23°C Nav specifisks
31 Diena
1411
Pierādījumu līmenis B+

Polivinilhlorīds Nātrija hlorīds 0.9% 0,1 & 10 mg/ml 32°C Nav specifisks
7 Diena
1411
Pierādījumu līmenis B+

Polivinilhlorīds Nātrija hlorīds 0.9% 0,1 & 10 mg/ml 4°C Aizsargāt no gaismas
31 Diena
1411
Pierādījumu līmenis B+

Polivinilhlorīds 5% glikoze > 0,1 mg/ml 2-8°C Aizsargāt no gaismas
7 Diena
3655
Ražotāja stabilitātes dati

Polivinilhlorīds 5% glikoze > 0,1 mg/ml 25°C Gaisma
96 Stunda
3655
Ražotāja stabilitātes dati

Polivinilhlorīds 5% glikoze > 0,1 mg/ml 37°C Gaisma
48 Stunda
3655
Ražotāja stabilitātes dati

Polivinilhlorīds 5% glikoze 0,1 & 10 mg/ml 23°C Nav specifisks
31 Diena
1411
Pierādījumu līmenis B+

Polivinilhlorīds 5% glikoze 0,1 & 10 mg/ml 32°C Nav specifisks
7 Diena
1411
Pierādījumu līmenis B+

Polivinilhlorīds 5% glikoze 0,1 & 10 mg/ml 4°C Aizsargāt no gaismas
31 Diena
1411
Pierādījumu līmenis B+

Poliolefīns Nātrija hlorīds 0.9% > 0,1 mg/ml 2-8°C Aizsargāt no gaismas
7 Diena
3655
Ražotāja stabilitātes dati

Poliolefīns Nātrija hlorīds 0.9% > 0,1 mg/ml 25°C Gaisma
96 Stunda
3655
Ražotāja stabilitātes dati

Poliolefīns Nātrija hlorīds 0.9% > 0,1 mg/ml 37°C Gaisma
48 Stunda
3655
Ražotāja stabilitātes dati

Poliolefīns 5% glikoze > 0,1 mg/ml 2-8°C Aizsargāt no gaismas
7 Diena
3655
Ražotāja stabilitātes dati

Poliolefīns 5% glikoze > 0,1 mg/ml 25°C Gaisma
96 Stunda
3655
Ražotāja stabilitātes dati

Poliolefīns 5% glikoze > 0,1 mg/ml 37°C Gaisma
48 Stunda
3655
Ražotāja stabilitātes dati

Šļirce polipropilēna Ūdens injekcijām + antibakteriāls 10 & 20 mg/ml 23°C Nav specifisks
31 Diena
1411
Pierādījumu līmenis B+

Šļirce polipropilēna Ūdens injekcijām + antibakteriāls 10 & 20 mg/ml 32°C Nav specifisks
7 Diena
1411
Pierādījumu līmenis B+

Šļirce polipropilēna Ūdens injekcijām + antibakteriāls 10 & 20 mg/ml 4°C Aizsargāt no gaismas
31 Diena
1411
Pierādījumu līmenis B+


  Mentions Légales